Identification
| Name |
(N2,N16-dibutyl-N9,N23-bis(2-ethylhexyl)-29H,31H-phthalocyanine-2,9,16,23-tetrasulfonamidato)-Copper |
| Synonyms |
Copper, (N2,N16-Dibutyl-N9,N23-Bis(2-Ethylhexyl)-29H,31H-Phthalocyanine-2,9,16,23-Tetrasulfonamidato(2-)-Kappan29,Kappan30,Kappan31,Kappan32)-, (Sp-4-1)- |
|
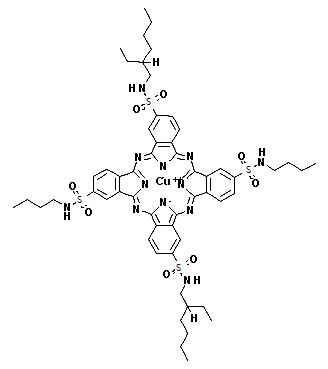
| Molecular Structure |
 |
| Molecular Formula |
C56H68CuN12O8S4 |
| Molecular Weight |
1229.01 |
| CAS Registry Number |
71566-25-1 |
| SMILES |
N1=C2N=C8N=C(N=C6N=C([N-]C4=C5C(=C(N=C1C3=CC=C([S](=O)(=O)NCC(CCCC)CC)C=C23)[N-]4)C=C([S](=O)(=O)NCCCC)C=C5)C7=CC(=CC=C67)[S](=O)(=O)NCC(CCCC)CC)C9=CC(=CC=C89)[S](=O)(=O)NCCCC.[Cu++] |
| InChI |
1S/C56H68N12O8S4.Cu/c1-7-13-17-35(11-5)33-59-79(73,74)39-21-25-43-47(31-39)55-65-49-41-23-19-37(77(69,70)57-27-15-9-3)29-45(41)54(61-49)64-52-44-26-22-40(80(75,76)60-34-36(12-6)18-14-8-2)32-48(44)56(68-52)66-50-42-24-20-38(78(71,72)58-28-16-10-4)30-46(42)53(62-50)63-51(43)67-55;/h19-26,29-32,35-36,57-60H,7-18,27-28,33-34H2,1-6H3;/q-2;+2 |
| InChIKey |
KQIPXEHYJXCLEK-UHFFFAOYSA-N |
|