Online Database of Chemicals from Around the World

唾液基对红细胞糖苷
[CAS# 71833-57-3]

供应商
CAS#: 71833-57-3
产品: 唾液基对红细胞糖苷
暂时没有厂家供应该产品。
基本信息
产品名称 唾液基对红细胞糖苷
英文名 Sialosylparagloboside
别名 (2S,4R,5S,6S)-5-Acetamido-2-[(2R,3R,4S,5S,6R)-2-[(2S,3R,4R,5R,6R)-3-Acetamido-2-[(2S,3R,4S,5S,6R)-2-[(2R,3S,4R,5R,6R)-4,5-Dihydroxy-2-(Hydroxymethyl)-6-[(Z)-3-Hydroxy-2-(Octadecanoylamino)Octadec-4-Enoxy]Tetrahydropyran-3-Yl]Oxy-3,5-Dihydroxy-6-(Hydroxymethyl)Tetrahydropyran-4-Yl]Oxy-5-Hydroxy-6-(Hydroxymethyl)Tetrahydropyran-4-Yl]Oxy-3,5-Dihydroxy-6-(Hydroxymethyl)Tetrahydropyran-4-Yl]Oxy-4-Hydroxy-6-(1,2,3-Trihydroxypropyl)Tetrahydropyran-2-Carboxylic Acid; (2S,4R,5S,6S)-5-Acetamido-2-[[(2R,3R,4S,5S,6R)-2-[[(2S,3R,4R,5R,6R)-3-Acetamido-2-[[(2S,3R,4S,5S,6R)-2-[[(2R,3S,4R,5R,6R)-4,5-Dihydroxy-2-(Hydroxymethyl)-6-[(Z)-3-Hydroxy-2-(1-Oxooctadecylamino)Octadec-4-Enoxy]-3-Tetrahydropyranyl]Oxy]-3,5-Dihydroxy-6-(Hydroxymethyl)-4-Tetrahydropyranyl]Oxy]-5-Hydroxy-6-(Hydroxymethyl)-4-Tetrahydropyranyl]Oxy]-3,5-Dihydroxy-6-(Hydroxymethyl)-4-Tetrahydropyranyl]Oxy]-4-Hydroxy-6-(1,2,3-Trihydroxypropyl)-2-Tetrahydropyrancarboxylic Acid; (2S,4R,5S,6S)-5-Acetamido-2-[(2R,3R,4S,5S,6R)-2-[(2S,3R,4R,5R,6R)-3-Acetamido-2-[(2S,3R,4S,5S,6R)-2-[(2R,3S,4R,5R,6R)-4,5-Dihydroxy-6-[(Z)-3-Hydroxy-2-Stearamido-Octadec-4-Enoxy]-2-Methylol-Tetrahydropyran-3-Yl]Oxy-3,5-Dihydroxy-6-Methylol-Tetrahydropyran-4-Yl]Oxy-5-Hydroxy-6-Methylol-Tetrahydropyran-4-Yl]Oxy-3,5-Dihydroxy-6-Methylol-Tetrahydropyran-4-Yl]Oxy-4-Hydroxy-6-(1,2,3-Trihydroxypropyl)Tetrahydropyran-2-Carboxylic Acid
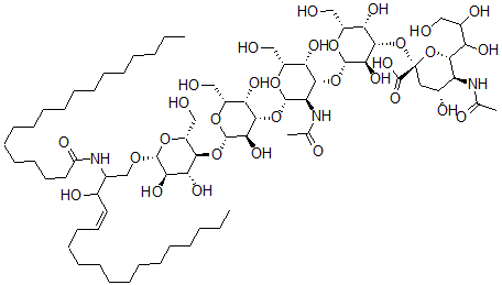
分子结构 CAS 登录号:71833-57-3, 唾液基对红细胞糖苷
分子式 C73H131N3O31
分子量 1546.84
CAS 登录号 71833-57-3
分子行输入简码 SMILES [C@@]5(O[C@@H]4[C@@H](O)[C@H](O[C@@H]1[C@@H](NC(=O)C)[C@@H](O[C@@H]([C@@H]1O)CO)O[C@@H]2[C@@H](O)[C@@H](O[C@@H]([C@@H]2O)CO)O[C@H]3[C@H](O)[C@@H](O)[C@@H](O[C@@H]3CO)OCC(NC(=O)CCCCCCCCCCCCCCCCC)C(O)\C=C/CCCCCCCCCCCCC)O[C@@H]([C@@H]4O)CO)(O[C@@H]([C@@H](NC(=O)C)[C@H](O)C5)C(O)C(O)CO)C(=O)O
国际化学标识码 InChI 1S/C73H131N3O31/c1-5-7-9-11-13-15-17-19-20-22-24-26-28-30-32-34-52(87)76-44(45(84)33-31-29-27-25-23-21-18-16-14-12-10-8-6-2)41-98-69-60(93)59(92)63(51(40-81)102-69)103-70-61(94)66(57(90)49(38-79)100-70)105-68-54(75-43(4)83)64(56(89)48(37-78)99-68)104-71-62(95)67(58(91)50(39-80)101-71)107-73(72(96)97)35-46(85)53(74-42(3)82)65(106-73)55(88)47(86)36-77/h31,33,44-51,53-71,77-81,84-86,88-95H,5-30,32,34-41H2,1-4H3,(H,74,82)(H,75,83)(H,76,87)(H,96,97)/b33-31-/t44?,45?,46-,47?,48-,49-,50-,51-,53+,54-,55?,56+,57+,58+,59-,60-,61-,62-,63-,64-,65+,66+,67+,68+,69-,70+,71+,73+/m1/s1
国际化学标识检索码 InChIKey OWMXULOUTAAVIX-HNZIOFRCSA-N
物理化学性质
密度 1.357g/cm3 (计算值)
沸点 1526.142°C at 760 mmHg (计算值)
闪点 876.779°C (计算值)
市场分析报告
请浏览唾液基对红细胞糖苷市场分析报告总目录
相关产品
赤藓糖醇4-磷酸酯  5-溴-5'-胞苷酸与5-羟基-5'-胞苷酸的聚合...  对硝基苄亚基叔-丁胺  14-羟基二氢可待因  6-磺基氧基甲基苯并(a)芘  2,3-二氢-2-甲基-9-苯基-1H-茚并[2,...  3-羟基-2,2-二甲基-丙酸3-羟基-2,2-二...  O-乙基-O'-(2-二异丙基氨基乙基)甲基亚膦酸...  N-(3-氯苯基)-1,3,5-三嗪-2,4-二胺  (4R,7R,8R,9E,14E,16E,20S)...  (2-氧代-1H-吡啶-3-基)丙酸酯  2,2-二甲基-丙酸1,2-二氢-2-氧代-3-吡...  1-(4-氯苯甲酰基)-5-甲氧基-2-甲基-1H...  3-巯基丙酸辛酯  2,6-二氯苯甲酸苯基酯