Online Database of Chemicals from Around the World

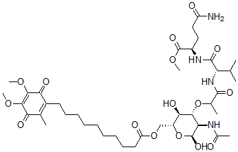
[(2R,3S,4R,5R,6S)-5-乙酰氨基-4-[1-[[(2S)-1-[[(2R)-5-氨基-1-甲氧基-1,5-二氧代戊烷-2-基]氨基]-3-甲基-1-氧代丁烷-2-基]氨基]-1-氧代丙烷-2-基]氧基-3,6-二羟基四氢吡喃-2-基]甲基10-(4,5-二甲氧基-2-甲基-3,6-二氧代-1-环己-1,4-二烯基)癸酸酯
[CAS# 72921-52-9]

供应商
CAS#: 72921-52-9
产品: [(2R,3S,4R,5R,6S)-5-乙酰氨基-4-[1-[[(2S)-1-[[(2R)-5-氨基-1-甲氧基-1,5-二氧代戊烷-2-基]氨基]-3-甲基-1-氧代丁烷-2-基]氨基]-1-氧代丙烷-2-基]氧基-3,6-二羟基四氢吡喃-2-基]甲基10-(4,5-二甲氧基-2-甲基-3,6-二氧代-1-环己-1,4-二烯基)癸酸酯
暂时没有厂家供应该产品。
基本信息
产品名称 [(2R,3S,4R,5R,6S)-5-乙酰氨基-4-[1-[[(2S)-1-[[(2R)-5-氨基-1-甲氧基-1,5-二氧代戊烷-2-基]氨基]-3-甲基-1-氧代丁烷-2-基]氨基]-1-氧代丙烷-2-基]氧基-3,6-二羟基四氢吡喃-2-基]甲基10-(4,5-二甲氧基-2-甲基-3,6-二氧代-1-环己-1,4-二烯基)癸酸酯
英文名 [(2R,3S,4R,5R,6S)-5-Acetamido-4-[1-[[(2S)-1-[[(2R)-5-Amino-1-Methoxy-1,5-Dioxopentan-2-Yl]Amino]-3-Methyl-1-Oxobutan-2-Yl]Amino]-1-Oxopropan-2-Yl]Oxy-3,6-Dihydroxyoxan-2-Yl]Methyl 10-(4,5-Dimethoxy-2-Methyl-3,6-Dioxo-1-Cyclohexa-1,4-Dienyl)Decanoate
别名 10-(4,5-Dimethoxy-2-Methyl-3,6-Dioxo-1-Cyclohexa-1,4-Dienyl)Decanoic Acid [(2R,3S,4R,5R,6S)-5-Acetamido-4-[2-[[(1S)-1-[[[(1R)-4-Amino-1-Methoxycarbonyl-4-Oxobutyl]Amino]-Oxomethyl]-2-Methylpropyl]Amino]-1-Methyl-2-Oxoethoxy]-3,6-Dihydroxy-2-Tetrahydropyranyl]Methyl Ester; 10-(3,6-Diketo-4,5-Dimethoxy-2-Methyl-1-Cyclohexa-1,4-Dienyl)Capric Acid [(2R,3S,4R,5R,6S)-5-Acetamido-4-[2-[[(1S)-1-[[(1R)-4-Amino-1-Carbomethoxy-4-Keto-Butyl]Carbamoyl]-2-Methyl-Propyl]Amino]-2-Keto-1-Methyl-Ethoxy]-3,6-Dihydroxy-Tetrahydropyran-2-Yl]Methyl Ester; [(2R,3S,4R,5R,6S)-5-Acetamido-4-[2-[[(1S)-1-[[(1R)-4-Amino-1-Methoxycarbonyl-4-Oxo-Butyl]Carbamoyl]-2-Methyl-Propyl]Amino]-1-Methyl-2-Oxo-Ethoxy]-3,6-Dihydroxy-Tetrahydropyran-2-Yl]Methyl 10-(4,5-Dimethoxy-2-Methyl-3,6-Dioxo-1-Cyclohexa-1,4-Dienyl)Decanoate
分子结构 CAS 登录号:72921-52-9, [(2R,3S,4R,5R,6S)-5-乙酰氨基-4-[1-[[(2S)-1-[[(2R)-5-氨基-1-甲氧基-1,5-二氧代戊烷-2-基]氨基]-3-甲基-1-氧代丁烷-2-基]氨基]-1-氧代丙烷-2-基]氧基-3,6-二羟基四氢吡喃-2-基]甲基10-(4,5-二甲氧基-2-甲基-3,6-二氧代-1-环己-1,4-二烯基)癸酸酯
分子式 C41H64N4O16
分子量 868.97
CAS 登录号 72921-52-9
分子行输入简码 SMILES [C@@H]1(OC(C(=O)N[C@H](C(=O)N[C@@H](C(OC)=O)CCC(=O)N)C(C)C)C)[C@@H](NC(=O)C)[C@H](O[C@@H]([C@H]1O)COC(=O)CCCCCCCCCC2=C(C(=O)C(=C(OC)C2=O)OC)C)O
国际化学标识码 InChI 1S/C41H64N4O16/c1-21(2)30(39(53)44-26(40(54)58-8)18-19-28(42)47)45-38(52)23(4)60-35-31(43-24(5)46)41(55)61-27(34(35)51)20-59-29(48)17-15-13-11-9-10-12-14-16-25-22(3)32(49)36(56-6)37(57-7)33(25)50/h21,23,26-27,30-31,34-35,41,51,55H,9-20H2,1-8H3,(H2,42,47)(H,43,46)(H,44,53)(H,45,52)/t23?,26-,27-,30+,31-,34-,35-,41+/m1/s1
国际化学标识检索码 InChIKey CWERSTOLSLTDNS-NICFXMIKSA-N
物理化学性质
密度 1.28g/cm3 (计算值)
沸点 1096.652°C at 760 mmHg (计算值)
闪点 617.033°C (计算值)
市场分析报告
请浏览[(2R,3S,4R,5R,6S)-5-乙酰氨基-4-[1-[[(2S)-1-[[(2R)-5-氨基-1-甲氧基-1,5-二氧代戊烷-2-基]氨基]-3-甲基-1-氧代丁烷-2-基]氨基]-1-氧代丙烷-2-基]氧基-3,6-二羟基四氢吡喃-2-基]甲基10-(4,5-二甲氧基-2-甲基-3,6-二氧代-1-环己-1,4-二烯基)癸酸酯市场分析报告总目录
相关产品
4,5-二氢-2-(2-甲氧基苯基)-1-[2-(...  腺苷5'-[氢[[羟基(膦酰氧基)亚膦酰]甲基]膦...  (1aalpha,2beta,6aalpha,6a...  N-(5-氨基-戊基)-苯邻二甲酰亚胺盐酸盐  5-[[3-甲基-5-氧代-1-(4-磺酸苯基)-...  (1E)-1-[[2-乙氧基-4-[[3-乙氧基-...  (4E)-4-[(2,5-二氯苯基)亚肼基]-N-...  2-(3-甲基苯基)乙醛  (2E)-3,7-二甲基-1-甲硫基辛-2,6-二...  (6E,9E)-9,13-二甲基十四碳-1,6,9...  2-[(2S)-1,1,2,3,3-五甲基-2H-...  2-[[(Z)-(3-甲氧基-4-氧代-1-环己-...  ((3a,4,5,6,7,7a-六氢-4,7-甲桥...  (2E)-2-辛亚基环己烷-1-酮  (2E)-2-庚亚基环己烷-1-酮