Online Database of Chemicals from Around the World

2-氨基乙基N-[5-氨基-2-[4-氨基-3,5-二羟基-6-(羟基甲基)四氢吡喃-2-基]氧基-4-[6-(氨基甲基)-3,4,5-三羟基四氢吡喃-2-基]氧基-3-羟基环己基]氨基甲酸酯
[CAS# 73352-74-6]

供应商
CAS#: 73352-74-6
产品: 2-氨基乙基N-[5-氨基-2-[4-氨基-3,5-二羟基-6-(羟基甲基)四氢吡喃-2-基]氧基-4-[6-(氨基甲基)-3,4,5-三羟基四氢吡喃-2-基]氧基-3-羟基环己基]氨基甲酸酯
暂时没有厂家供应该产品。
基本信息
产品名称 2-氨基乙基N-[5-氨基-2-[4-氨基-3,5-二羟基-6-(羟基甲基)四氢吡喃-2-基]氧基-4-[6-(氨基甲基)-3,4,5-三羟基四氢吡喃-2-基]氧基-3-羟基环己基]氨基甲酸酯
英文名 2-Aminoethyl N-[5-Amino-2-[4-Amino-3,5-Dihydroxy-6-(Hydroxymethyl)Oxan-2-Yl]Oxy-4-[6-(Aminomethyl)-3,4,5-Trihydroxyoxan-2-Yl]Oxy-3-Hydroxycyclohexyl]Carbamate
别名 2-Aminoethyl N-[5-Amino-2-[4-Amino-3,5-Dihydroxy-6-(Hydroxymethyl)Tetrahydropyran-2-Yl]Oxy-4-[6-(Aminomethyl)-3,4,5-Trihydroxy-Tetrahydropyran-2-Yl]Oxy-3-Hydroxy-Cyclohexyl]Carbamate; N-[5-Amino-2-[[4-Amino-3,5-Dihydroxy-6-(Hydroxymethyl)-2-Tetrahydropyranyl]Oxy]-4-[[6-(Aminomethyl)-3,4,5-Trihydroxy-2-Tetrahydropyranyl]Oxy]-3-Hydroxycyclohexyl]Carbamic Acid 2-Aminoethyl Ester; N-[5-Amino-2-(4-Amino-3,5-Dihydroxy-6-Methylol-Tetrahydropyran-2-Yl)Oxy-4-[6-(Aminomethyl)-3,4,5-Trihydroxy-Tetrahydropyran-2-Yl]Oxy-3-Hydroxy-Cyclohexyl]Carbamic Acid 2-Aminoethyl Ester
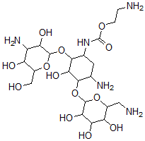
分子结构 CAS 登录号:73352-74-6, 2-氨基乙基N-[5-氨基-2-[4-氨基-3,5-二羟基-6-(羟基甲基)四氢吡喃-2-基]氧基-4-[6-(氨基甲基)-3,4,5-三羟基四氢吡喃-2-基]氧基-3-羟基环己基]氨基甲酸酯
分子式 C21H41N5O13
分子量 571.58
CAS 登录号 73352-74-6
分子行输入简码 SMILES C(C3C(C(C(C(OC1C(CC(C(C1O)OC2OC(C(C(C2O)O)O)CN)N)NC(=O)OCCN)O3)O)N)O)O
国际化学标识码 InChI 1S/C21H41N5O13/c22-1-2-35-21(34)26-7-3-6(24)17(38-20-15(32)14(31)12(29)8(4-23)36-20)16(33)18(7)39-19-13(30)10(25)11(28)9(5-27)37-19/h6-20,27-33H,1-5,22-25H2,(H,26,34)
国际化学标识检索码 InChIKey LHQOLTPFOBFNAQ-UHFFFAOYSA-N
物理化学性质
密度 1.606g/cm3 (计算值)
沸点 897.921°C at 760 mmHg (计算值)
闪点 496.845°C (计算值)
市场分析报告
请浏览2-氨基乙基N-[5-氨基-2-[4-氨基-3,5-二羟基-6-(羟基甲基)四氢吡喃-2-基]氧基-4-[6-(氨基甲基)-3,4,5-三羟基四氢吡喃-2-基]氧基-3-羟基环己基]氨基甲酸酯市场分析报告总目录
相关产品
[(2S,3S,4S)-2-甲基-4-[(2,2,...  2-羧基乙基-[3-[[4,4,5,5,6,6,7...  1-(3-二甲基氨基丙基氨基)-4,4,5,5,6...  (4,5-二乙酰氧基-2-氯-3-甲酰基-6-甲基...  2-氯-7-羟基-6-甲基-4,5-二氧代-1H-...  2-氯-5-甲氧基-1,6-二甲基-4,7-二氧代...  2-氯-5-甲氧基-6-甲基-4,7-二氧代-1H...  2-乙酰基-3-硝基苯甲酸  8,16,18,26,34,36-六羟基四十一烷-...  2-苯甲酰基-3-硝基苯甲酸  4-甲基-N-(3-哌啶-1-基丙基)-6-(三氟...  [(2R,3S,4S)-5-(8-氯-7-甲基-2...  (E,2S)-2-氨基-4-(2-氨基乙氧基)丁-...  铁-聚(山梨糖醇-葡萄糖酸)络合物  L-3-羟基-6-氧代-N-环丙基甲基吗喃甲烷磺酸...