Online Database of Chemicals from Around the World

1-[(4R,7S,10S,16S,19R)-19-氨基-7-(2-氨基-2-氧代乙基)-10-(3-氨基-3-氧代丙基)-13-[(2S)-丁烷-2-基]-16-[(4-羟基苯基)甲基]-6,9,12,15,18-五氧代1,2-二硫杂-5,8,11,14,17-五氮杂环二十烷-4-羰基]-N-[(2S)-1-[(2-二甲基氨基-2-氧代乙基)氨基]-4-甲基-1-氧代戊烷-2-基]吡咯烷-2-甲酰胺
[CAS# 73631-36-4]

供应商
CAS#: 73631-36-4
产品: 1-[(4R,7S,10S,16S,19R)-19-氨基-7-(2-氨基-2-氧代乙基)-10-(3-氨基-3-氧代丙基)-13-[(2S)-丁烷-2-基]-16-[(4-羟基苯基)甲基]-6,9,12,15,18-五氧代1,2-二硫杂-5,8,11,14,17-五氮杂环二十烷-4-羰基]-N-[(2S)-1-[(2-二甲基氨基-2-氧代乙基)氨基]-4-甲基-1-氧代戊烷-2-基]吡咯烷-2-甲酰胺
暂时没有厂家供应该产品。
基本信息
产品名称 1-[(4R,7S,10S,16S,19R)-19-氨基-7-(2-氨基-2-氧代乙基)-10-(3-氨基-3-氧代丙基)-13-[(2S)-丁烷-2-基]-16-[(4-羟基苯基)甲基]-6,9,12,15,18-五氧代1,2-二硫杂-5,8,11,14,17-五氮杂环二十烷-4-羰基]-N-[(2S)-1-[(2-二甲基氨基-2-氧代乙基)氨基]-4-甲基-1-氧代戊烷-2-基]吡咯烷-2-甲酰胺
英文名 1-[(4R,7S,10S,16S,19R)-19-Amino-7-(2-Amino-2-Oxoethyl)-10-(3-Amino-3-Oxopropyl)-13-[(2S)-Butan-2-Yl]-16-[(4-Hydroxyphenyl)Methyl]-6,9,12,15,18-Pentaoxo1,2-Dithia-5,8,11,14,17-Pentazacycloicosane-4-Carbonyl]-N-[(2S)-1-[(2-Dimethylamino-2-Oxoethyl)Amino]-4-Methyl-1-Oxopentan-2-Yl]Pyrrolidine-2-Carboxamide
别名 1-[(4R,7S,10S,16S,19R)-19-Amino-7-(2-Amino-2-Oxo-Ethyl)-10-(3-Amino-3-Oxo-Propyl)-16-[(4-Hydroxyphenyl)Methyl]-6,9,12,15,18-Pentaoxo-13-Sec-Butyl-1,2-Dithia-5,8,11,14,17-Pentazacycloicosane-4-Carbonyl]-N-[(1S)-1-[(2-Dimethylamino-2-Oxo-Ethyl)Carbamoyl]-3-Methyl-Butyl]Pyrrolidine-2-Carboxamide; 1-[[(4R,7S,10S,16S,19R)-19-Amino-7-(2-Amino-2-Oxoethyl)-10-(3-Amino-3-Oxopropyl)-16-[(4-Hydroxyphenyl)Methyl]-6,9,12,15,18-Pentaoxo-13-Sec-Butyl-1,2-Dithia-5,8,11,14,17-Pentazacycloicos-4-Yl]-Oxomethyl]-N-[(1S)-1-[[(2-Dimethylamino-2-Oxoethyl)Amino]-Oxomethyl]-3-Methylbutyl]-2-Pyrrolidinecarboxamide; 1-[(4R,7S,10S,16S,19R)-19-Amino-7-(2-Amino-2-Keto-Ethyl)-10-(3-Amino-3-Keto-Propyl)-16-(4-Hydroxybenzyl)-6,9,12,15,18-Pentaketo-13-Sec-Butyl-1,2-Dithia-5,8,11,14,17-Pentazacycloicosane-4-Carbonyl]-N-[(1S)-1-[(2-Dimethylamino-2-Keto-Ethyl)Carbamoyl]-3-Methyl-Butyl]Pyrrolidine-2-Carboxamide
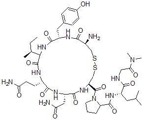
分子结构 CAS 登录号:73631-36-4, 1-[(4R,7S,10S,16S,19R)-19-氨基-7-(2-氨基-2-氧代乙基)-10-(3-氨基-3-氧代丙基)-13-[(2S)-丁烷-2-基]-16-[(4-羟基苯基)甲基]-6,9,12,15,18-五氧代1,2-二硫杂-5,8,11,14,17-五氮杂环二十烷-4-羰基]-N-[(2S)-1-[(2-二甲基氨基-2-氧代乙基)氨基]-4-甲基-1-氧代戊烷-2-基]吡咯烷-2-甲酰胺
分子式 C45H70N12O12S2
分子量 1035.24
CAS 登录号 73631-36-4
分子行输入简码 SMILES [C@@H]1(NC(=O)[C@@H](NC(=O)[C@@H](NC(=O)C(NC(=O)[C@@H](NC(=O)[C@@H](N)CSSC1)CC2=CC=C(O)C=C2)[C@H](CC)C)CCC(=O)N)CC(=O)N)C(=O)N3C(C(=O)N[C@H](C(=O)NCC(=O)N(C)C)CC(C)C)CCC3
国际化学标识码 InChI 1S/C45H70N12O12S2/c1-7-24(4)37-44(68)50-28(14-15-34(47)59)40(64)52-31(19-35(48)60)41(65)54-32(22-71-70-21-27(46)38(62)51-30(42(66)55-37)18-25-10-12-26(58)13-11-25)45(69)57-16-8-9-33(57)43(67)53-29(17-23(2)3)39(63)49-20-36(61)56(5)6/h10-13,23-24,27-33,37,58H,7-9,14-22,46H2,1-6H3,(H2,47,59)(H2,48,60)(H,49,63)(H,50,68)(H,51,62)(H,52,64)(H,53,67)(H,54,65)(H,55,66)/t24-,27-,28-,29-,30-,31-,32-,33?,37?/m0/s1
国际化学标识检索码 InChIKey JQKQPWXVFJENAN-DWFTWNDCSA-N
物理化学性质
密度 1.248g/cm3 (计算值)
沸点 1491.781°C at 760 mmHg (计算值)
闪点 855.998°C (计算值)
市场分析报告
请浏览1-[(4R,7S,10S,16S,19R)-19-氨基-7-(2-氨基-2-氧代乙基)-10-(3-氨基-3-氧代丙基)-13-[(2S)-丁烷-2-基]-16-[(4-羟基苯基)甲基]-6,9,12,15,18-五氧代1,2-二硫杂-5,8,11,14,17-五氮杂环二十烷-4-羰基]-N-[(2S)-1-[(2-二甲基氨基-2-氧代乙基)氨基]-4-甲基-1-氧代戊烷-2-基]吡咯烷-2-甲酰胺市场分析报告总目录
相关产品
(3R)-7-Methoxy-1,2-Didehy...  1-(1,2,8-三羟基蒽-9-基)乙酮  1-[4-(2-羟基丙氧基)萘-1-基]-2-甲氧...  2-[2-[二(2-氧代-2-氧代乙基)氨基]乙基...  乙二胺四乙酸二钠锰  4-(氯甲基)-2,2-二甲基-1,3,2-二氧硅...  4-(苯甲酰基氨基)苯甲酸乙酯  2-氯-3-甲基-丁-2-烯醛  1-叔丁基-4-乙基苯  4-氯-alpha-苯基苄基(甲基)醚  (2Z)-2-[(3-硝基苯基)亚肼基]丙酸乙酯  7,8-二甲基-10-(2,3,4,5-四羟基戊基...  (2S)-2-氨基-3-亚甲基丁二酸  13,14-二氮杂三环[8.2.1.14,7]十四...  2,2-二氯戊烷-3-酮