Online Database of Chemicals from Around the World

[(2R,3S,5R)-2-[[羟基-(羟基-膦酰氧基磷酰)氧基磷酰]氧基甲基]-5-(5-甲基-2,4-二氧代嘧啶-1-基)四氢呋喃-3-基]膦酰氢磷酸酯
[CAS# 73909-63-4]

供应商
CAS#: 73909-63-4
产品: [(2R,3S,5R)-2-[[羟基-(羟基-膦酰氧基磷酰)氧基磷酰]氧基甲基]-5-(5-甲基-2,4-二氧代嘧啶-1-基)四氢呋喃-3-基]膦酰氢磷酸酯
暂时没有厂家供应该产品。
基本信息
产品名称 [(2R,3S,5R)-2-[[羟基-(羟基-膦酰氧基磷酰)氧基磷酰]氧基甲基]-5-(5-甲基-2,4-二氧代嘧啶-1-基)四氢呋喃-3-基]膦酰氢磷酸酯
英文名 [(2R,3S,5R)-2-[[Hydroxy-(Hydroxy-Phosphonooxyphosphoryl)Oxyphosphoryl]Oxymethyl]-5-(5-Methyl-2,4-Dioxopyrimidin-1-Yl)Oxolan-3-Yl] Phosphono Hydrogen Phosphate
别名 [(2R,3S,5R)-2-[[Hydroxy-(Hydroxy-Phosphonooxy-Phosphoryl)Oxy-Phosphoryl]Oxymethyl]-5-(5-Methyl-2,4-Dioxo-Pyrimidin-1-Yl)Tetrahydrofuran-3-Yl] Phosphono Hydrogen Phosphate; [(2R,3S,5R)-2-[[Hydroxy-(Hydroxy-Phosphonooxyphosphoryl)Oxyphosphoryl]Oxymethyl]-5-(5-Methyl-2,4-Dioxo-1-Pyrimidinyl)-3-Tetrahydrofuranyl] Phosphono Hydrogen Phosphate; [(2R,3S,5R)-5-(2,4-Diketo-5-Methyl-Pyrimidin-1-Yl)-2-[[Hydroxy-(Hydroxy-Phosphonooxy-Phosphoryl)Oxy-Phosphoryl]Oxymethyl]Tetrahydrofuran-3-Yl] Phosphono Hydrogen Phosphate
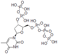
分子结构 CAS 登录号:73909-63-4, [(2R,3S,5R)-2-[[羟基-(羟基-膦酰氧基磷酰)氧基磷酰]氧基甲基]-5-(5-甲基-2,4-二氧代嘧啶-1-基)四氢呋喃-3-基]膦酰氢磷酸酯
分子式 C10H19N2O20P5
分子量 642.13
CAS 登录号 73909-63-4
分子行输入简码 SMILES [C@@H]2(O[P](O[P](=O)(O)O)(=O)O)[C@H](O[C@@H](N1C(=O)NC(=O)C(=C1)C)C2)CO[P](O[P](O[P](=O)(O)O)(=O)O)(=O)O
国际化学标识码 InChI 1S/C10H19N2O20P5/c1-5-3-12(10(14)11-9(5)13)8-2-6(29-36(23,24)30-33(15,16)17)7(28-8)4-27-35(21,22)32-37(25,26)31-34(18,19)20/h3,6-8H,2,4H2,1H3,(H,21,22)(H,23,24)(H,25,26)(H,11,13,14)(H2,15,16,17)(H2,18,19,20)/t6-,7+,8+/m0/s1
国际化学标识检索码 InChIKey USELZJUBXJZGGJ-XLPZGREQSA-N
物理化学性质
密度 2.103g/cm3 (计算值)
市场分析报告
请浏览[(2R,3S,5R)-2-[[羟基-(羟基-膦酰氧基磷酰)氧基磷酰]氧基甲基]-5-(5-甲基-2,4-二氧代嘧啶-1-基)四氢呋喃-3-基]膦酰氢磷酸酯市场分析报告总目录
相关产品
N-[1-[(4-苯胺基苯基)氨基]-5-(二氨基...  3-[6,7-二甲氧基-2-甲基-1-[(3,4,...  4-[2,6-二(4-氯苯基)吡啶-4-基]-N,...  4,8-二环己基-6-羟基-2,10-二甲基-12...  2-氨基-5-氧代-5-丙氧基-戊酸  2-氨基-5-丁氧基-5-氧代-戊酸  硫氢化锑  N-[2-(羟基氨基)-2-氧代乙基]-2,2-二...  N-[2-(羟基氨基)-2-氧代乙基]-3-甲基丁...  2-甲基-3-氧代-3-苯基-丙腈  5,6-环氧视黄醛  2-氰基己酸乙酯  2-(1-氧代丙基)环戊烷-1-酮  5-乙基-1,3-二甲基巴比妥酸  5-仲-丁基-1,3-二甲基-2,4,6(1H,3...