Online Database of Chemicals from Around the World

({(2S,3S,4R,5S)-5-(6-氨基-9H-嘌呤-9-基)-4-羟基-2-[(20E,22Z)-3,5,9-三羟基-8,8-二甲基-3,5-二氧代-10,14,19-三氧代-2,4,6-三氧杂-18-硫杂-11,15-二氮杂-3lambda5,5lambda5-二磷杂二十六-20,22-二烯-1-基]四氢-3-呋喃基}甲基)膦酸
[CAS# 74418-29-4]

供应商
CAS#: 74418-29-4
产品: ({(2S,3S,4R,5S)-5-(6-氨基-9H-嘌呤-9-基)-4-羟基-2-[(20E,22Z)-3,5,9-三羟基-8,8-二甲基-3,5-二氧代-10,14,19-三氧代-2,4,6-三氧杂-18-硫杂-11,15-二氮杂-3lambda5,5lambda5-二磷杂二十六-20,22-二烯-1-基]四氢-3-呋喃基}甲基)膦酸
暂时没有厂家供应该产品。
基本信息
产品名称 ({(2S,3S,4R,5S)-5-(6-氨基-9H-嘌呤-9-基)-4-羟基-2-[(20E,22Z)-3,5,9-三羟基-8,8-二甲基-3,5-二氧代-10,14,19-三氧代-2,4,6-三氧杂-18-硫杂-11,15-二氮杂-3lambda5,5lambda5-二磷杂二十六-20,22-二烯-1-基]四氢-3-呋喃基}甲基)膦酸
英文名 ({(2S,3S,4R,5S)-5-(6-Amino-9H-purin-9-yl)-4-hydroxy-2-[(20E,22Z)-3,5,9-trihydroxy-8,8-dimethyl-3,5-dioxido-10,14,19-trioxo-2,4,6-trioxa-18-thia-11,15-diaza-3lambda5,5lambda5-diphosphahexacosa-20,2 2-dien-1-yl]tetrahydro-3-furanyl}methyl)phosphonic acid
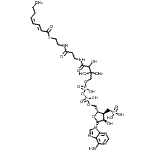
分子结构 CAS 登录号:74418-29-4, ({(2S,3S,4R,5S)-5-(6-氨基-9H-嘌呤-9-基)-4-羟基-2-[(20E,22Z)-3,5,9-三羟基-8,8-二甲基-3,5-二氧代-10,14,19-三氧代-2,4,6-三氧杂-18-硫杂-11,15-二氮杂-3lambda<sup>5</sup>,5lambda<sup>5</sup>-二磷杂二十六-20,22-二烯-1-基]四氢-3-呋喃基}甲基)膦酸
分子式 C30H48N7O16P3S
分子量 887.73
CAS 登录号 74418-29-4
分子行输入简码 SMILES CCC\C=C/C=C/C(=O)SCCNC(=O)CCNC(=O)C(O)C(C)(C)COP(O)(=O)OP(O)(=O)OC[C@H]3OC(n2cnc1c(N)ncnc12)[C@H](O)[C@@H]3CP(O)(O)=O
国际化学标识码 InChI 1S/C30H48N7O16P3S/c1-4-5-6-7-8-9-22(39)57-13-12-32-21(38)10-11-33-28(42)25(41)30(2,3)16-51-56(48,49)53-55(46,47)50-14-20-19(15-54(43,44)45)24(40)29(52-20)37-18-36-23-26(31)34-17-35-27(23)37/h6-9,17-20,24-25,29,40-41H,4-5,10-16H2,1-3H3,(H,32,38)(H,33,42)(H,46,47)(H,48,49)(H2,31,34,35)(H2,43,44,45)/b7-6-,9-8+/t19-,20-,24-,25?,29?/m1/s1
国际化学标识检索码 InChIKey YHRBHCTXYJGORE-OHKXNCGGSA-N
物理化学性质
密度 1.672g/cm3 (计算值)
市场分析报告
请浏览({(2S,3S,4R,5S)-5-(6-氨基-9H-嘌呤-9-基)-4-羟基-2-[(20E,22Z)-3,5,9-三羟基-8,8-二甲基-3,5-二氧代-10,14,19-三氧代-2,4,6-三氧杂-18-硫杂-11,15-二氮杂-3lambda5,5lambda5-二磷杂二十六-20,22-二烯-1-基]四氢-3-呋喃基}甲基)膦酸市场分析报告总目录
相关产品
1-(3-乙基-4-甲氧基苯基)甲胺  (2Z)-2-(乙基亚胺)-3-甲基-1-咪唑烷胺  1-(1H-吡唑并[3,4-c]吡啶-5-基)甲胺  1-(二甲基氨基)-3-(4-乙基苯氧基)-2-丙...  (6S,7S)-6,7-二羟基-6,7-二氢-3(...  乙基4-乙基-3,6-二甲基-2-氧代-1,2,3...  3-甲基咪唑并[1,2-a]吡啶-5-胺  2-[(3R)-3-氟-1-吡咯烷基]乙醇  甲基[(1R,2S,4R,6S)-4-羟基-1-甲...  1-[(1S,5R)-5-羟基-4-甲基-3-环己...  (1S,5R)-5-羟基-4-甲基-3-环己烯-1...  (1R,3S,7S,8S,9R)-9-羟基-8,9...  (1R,3S,7S,8S,9S)-9-羟基-8,9...  3-(4,5-二氢-1,3-恶唑-2-基)-5-甲...  5-氟-1H-吲哚-3-甲酰胺