Online Database of Chemicals from Around the World

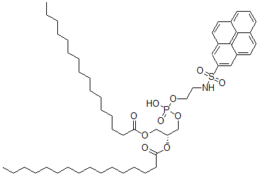
[(2R)-1-棕榈酰氧基-3-[羟基-[2-(芘-2-基磺酰基氨基)乙氧基]磷酰]氧基丙-2-基]十六烷酸酯
[CAS# 74555-72-9]

供应商
CAS#: 74555-72-9
产品: [(2R)-1-棕榈酰氧基-3-[羟基-[2-(芘-2-基磺酰基氨基)乙氧基]磷酰]氧基丙-2-基]十六烷酸酯
暂时没有厂家供应该产品。
基本信息
产品名称 [(2R)-1-棕榈酰氧基-3-[羟基-[2-(芘-2-基磺酰基氨基)乙氧基]磷酰]氧基丙-2-基]十六烷酸酯
英文名 [(2R)-1-Hexadecanoyloxy-3-[Hydroxy-[2-(Pyren-2-Ylsulfonylamino)Ethoxy]Phosphoryl]Oxypropan-2-Yl] Hexadecanoate
别名 [(1R)-1-(Hexadecanoyloxymethyl)-2-[Hydroxy-[2-(Pyren-2-Ylsulfonylamino)Ethoxy]Phosphoryl]Oxy-Ethyl] Hexadecanoate; Hexadecanoic Acid [(1R)-1-[[Hydroxy-[2-(2-Pyrenylsulfonylamino)Ethoxy]Phosphoryl]Oxymethyl]-2-(1-Oxohexadecoxy)Ethyl] Ester; Palmitic Acid [(1R)-1-(Hexadecanoyloxymethyl)-2-[Hydroxy-[2-(Pyren-2-Ylsulfonylamino)Ethoxy]Phosphoryl]Oxy-Ethyl] Ester
分子结构 CAS 登录号:74555-72-9, [(2R)-1-棕榈酰氧基-3-[羟基-[2-(芘-2-基磺酰基氨基)乙氧基]磷酰]氧基丙-2-基]十六烷酸酯
分子式 C53H82NO10PS
分子量 956.27
CAS 登录号 74555-72-9
分子行输入简码 SMILES [C@@H](COC(CCCCCCCCCCCCCCC)=O)(CO[P](=O)(OCCN[S](=O)(=O)C1=CC2=CC=C3C=CC=C4C=CC(=C1)C2=C34)O)OC(CCCCCCCCCCCCCCC)=O
国际化学标识码 InChI 1S/C53H82NO10PS/c1-3-5-7-9-11-13-15-17-19-21-23-25-27-32-50(55)61-42-48(64-51(56)33-28-26-24-22-20-18-16-14-12-10-8-6-4-2)43-63-65(57,58)62-39-38-54-66(59,60)49-40-46-36-34-44-30-29-31-45-35-37-47(41-49)53(46)52(44)45/h29-31,34-37,40-41,48,54H,3-28,32-33,38-39,42-43H2,1-2H3,(H,57,58)/t48-/m1/s1
国际化学标识检索码 InChIKey UJLCBUUYFXOGBG-QSCHNALKSA-N
物理化学性质
密度 1.127g/cm3 (计算值)
沸点 941.334°C at 760 mmHg (计算值)
闪点 523.1°C (计算值)
市场分析报告
请浏览[(2R)-1-棕榈酰氧基-3-[羟基-[2-(芘-2-基磺酰基氨基)乙氧基]磷酰]氧基丙-2-基]十六烷酸酯市场分析报告总目录
相关产品
[[4-(氰基-苯基-亚甲基)-1-环己-2,5-...  (2S,4aR,6S,7S,8S,8aR)-6-甲...  二甲替嗪  1-[二(4-氯苯基)甲氧基-(4-氯苯基)甲基]...  15-羟基十五烷基苯甲酸酯  2,2'-氧基二乙醛  二(4-氯苯基)二氯甲烷  金铟钯合金  5-氟-1-(四氢呋喃-2-基)嘧啶-2,4-二酮...  10,11-二氢-5H-二苯并[b,f]氮杂卓-5...  N-亚硝基二氢二苯并氮杂卓  (6E,8Z,11Z,14Z)-5-氢过氧基二十碳...  2-乙基-3-甲基己酰胺  (Z)-2-(3-甲基丁酰基氨基)丁-2-烯酸  2-(2-甲氧羰基-4,6-二硝基苯基)-3,5-...