Online Database of Chemicals from Around the World

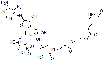
S-[2-[3-[[(2R)-4-[[[(2R,3S,4R,5R)-5-(6-氨基嘌呤-9-基)-4-羟基-3-膦酰氧基四氢呋喃-2-基]甲氧基-羟基磷酰]氧基-羟基磷酰]氧基-2-羟基-3,3-二甲基丁酰基]氨基]丙酰氨基]乙基]4-乙酰氨基硫代丁酸酯
[CAS# 74833-91-3]

供应商
CAS#: 74833-91-3
产品: S-[2-[3-[[(2R)-4-[[[(2R,3S,4R,5R)-5-(6-氨基嘌呤-9-基)-4-羟基-3-膦酰氧基四氢呋喃-2-基]甲氧基-羟基磷酰]氧基-羟基磷酰]氧基-2-羟基-3,3-二甲基丁酰基]氨基]丙酰氨基]乙基]4-乙酰氨基硫代丁酸酯
暂时没有厂家供应该产品。
基本信息
产品名称 S-[2-[3-[[(2R)-4-[[[(2R,3S,4R,5R)-5-(6-氨基嘌呤-9-基)-4-羟基-3-膦酰氧基四氢呋喃-2-基]甲氧基-羟基磷酰]氧基-羟基磷酰]氧基-2-羟基-3,3-二甲基丁酰基]氨基]丙酰氨基]乙基]4-乙酰氨基硫代丁酸酯
英文名 S-[2-[3-[[(2R)-4-[[[(2R,3S,4R,5R)-5-(6-Aminopurin-9-Yl)-4-Hydroxy-3-Phosphonooxyoxolan-2-Yl]Methoxy-Hydroxyphosphoryl]Oxy-Hydroxyphosphoryl]Oxy-2-Hydroxy-3,3-Dimethylbutanoyl]Amino]Propanoylamino]Ethyl] 4-Acetamidobutanethioate
别名 S-[2-[3-[[(2R)-4-[[[(2R,3S,4R,5R)-5-(6-Aminopurin-9-Yl)-4-Hydroxy-3-Phosphonooxy-Tetrahydrofuran-2-Yl]Methoxy-Hydroxy-Phosphoryl]Oxy-Hydroxy-Phosphoryl]Oxy-2-Hydroxy-3,3-Dimethyl-Butanoyl]Amino]Propanoylamino]Ethyl] 4-Acetamidobutanethioate; 4-Acetamidobutanethioic Acid S-[2-[[3-[[(2R)-4-[[[(2R,3S,4R,5R)-5-(6-Amino-9-Purinyl)-4-Hydroxy-3-Phosphonooxy-2-Tetrahydrofuranyl]Methoxy-Hydroxyphosphoryl]Oxy-Hydroxyphosphoryl]Oxy-2-Hydroxy-3,3-Dimethyl-1-Oxobutyl]Amino]-1-Oxopropyl]Amino]Ethyl] Ester; 4-Acetamidobutanethioic Acid S-[2-[3-[[(2R)-4-[[[(2R,3S,4R,5R)-5-(6-Aminopurin-9-Yl)-4-Hydroxy-3-Phosphonooxy-Tetrahydrofuran-2-Yl]Methoxy-Hydroxy-Phosphoryl]Oxy-Hydroxy-Phosphoryl]Oxy-2-Hydroxy-3,3-Dimethyl-Butanoyl]Amino]Propanoylamino]Ethyl] Ester
分子结构 CAS 登录号:74833-91-3, S-[2-[3-[[(2R)-4-[[[(2R,3S,4R,5R)-5-(6-氨基嘌呤-9-基)-4-羟基-3-膦酰氧基四氢呋喃-2-基]甲氧基-羟基磷酰]氧基-羟基磷酰]氧基-2-羟基-3,3-二甲基丁酰基]氨基]丙酰氨基]乙基]4-乙酰氨基硫代丁酸酯
分子式 C27H45N8O18P3S
分子量 894.68
CAS 登录号 74833-91-3
分子行输入简码 SMILES [C@H]1(O[C@@H]([C@@H](O[P](=O)(O)O)[C@H]1O)CO[P](O[P](OCC([C@@H](O)C(=O)NCCC(=O)NCCSC(=O)CCCNC(=O)C)(C)C)(=O)O)(=O)O)[N]2C3=C(N=C2)C(=NC=N3)N
国际化学标识码 InChI 1S/C27H45N8O18P3S/c1-15(36)29-7-4-5-18(38)57-10-9-30-17(37)6-8-31-25(41)22(40)27(2,3)12-50-56(47,48)53-55(45,46)49-11-16-21(52-54(42,43)44)20(39)26(51-16)35-14-34-19-23(28)32-13-33-24(19)35/h13-14,16,20-22,26,39-40H,4-12H2,1-3H3,(H,29,36)(H,30,37)(H,31,41)(H,45,46)(H,47,48)(H2,28,32,33)(H2,42,43,44)/t16-,20-,21-,22+,26-/m1/s1
国际化学标识检索码 InChIKey UEKGDRAHBCQADD-HDRQGHTBSA-N
市场分析报告
请浏览S-[2-[3-[[(2R)-4-[[[(2R,3S,4R,5R)-5-(6-氨基嘌呤-9-基)-4-羟基-3-膦酰氧基四氢呋喃-2-基]甲氧基-羟基磷酰]氧基-羟基磷酰]氧基-2-羟基-3,3-二甲基丁酰基]氨基]丙酰氨基]乙基]4-乙酰氨基硫代丁酸酯市场分析报告总目录
相关产品
N-[2-[[4-氯-2-(2-氯苯甲酰基)苯基]...  氟化氢  3-(1-哌嗪基)-1,2-丙烷二醇  (3Z,6R,14R)-6,14-二甲基-1,7-...  1,10-二羟基-2,6-二甲基-3-氧杂螺[4....  (5E,8E,10E,14E,17E)-12-羟基...  2-[3-[(2S)-3,6-二氧代哌嗪-2-基]...  (1-十八碳酰基氧基-3-十四碳酰氧基丙-2-基)...  (3-十六烷氧基-2-十四烷氧基丙基)2-三甲基铵...  5-(3-甲氧基丙基亚氨基)-8-[2-(2-甲基...  8-[2-(2-氯-4-硝基苯基)肼基]-5-(3...  Ulicyclamide  5-辛基-5H-呋喃-2-酮  2-氨基-N-[4-氨基-3-[3-氨基-6-(1...  2,2'-(乙烯二磺酰基)二乙醇