Online Database of Chemicals from Around the World

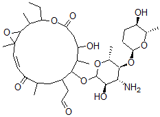
2-[(14E)-9-[(3R,4R,5S,6R)-4-氨基-3-羟基-5-[(2S,5R,6S)-5-羟基-6-甲基四氢吡喃-2-基]氧基-6-甲基四氢吡喃-2-基]氧基-3-乙基-7-羟基-2,8,12,16-四甲基-5,13-二氧代-4,17-二氧杂双环[14.1.0]十七碳-14-烯-10-基]乙醛
[CAS# 74918-31-3]

供应商
CAS#: 74918-31-3
产品: 2-[(14E)-9-[(3R,4R,5S,6R)-4-氨基-3-羟基-5-[(2S,5R,6S)-5-羟基-6-甲基四氢吡喃-2-基]氧基-6-甲基四氢吡喃-2-基]氧基-3-乙基-7-羟基-2,8,12,16-四甲基-5,13-二氧代-4,17-二氧杂双环[14.1.0]十七碳-14-烯-10-基]乙醛
暂时没有厂家供应该产品。
基本信息
产品名称 2-[(14E)-9-[(3R,4R,5S,6R)-4-氨基-3-羟基-5-[(2S,5R,6S)-5-羟基-6-甲基四氢吡喃-2-基]氧基-6-甲基四氢吡喃-2-基]氧基-3-乙基-7-羟基-2,8,12,16-四甲基-5,13-二氧代-4,17-二氧杂双环[14.1.0]十七碳-14-烯-10-基]乙醛
英文名 2-[(14E)-9-[(3R,4R,5S,6R)-4-Amino-3-Hydroxy-5-[(2S,5R,6S)-5-Hydroxy-6-Methyloxan-2-Yl]Oxy-6-Methyloxan-2-Yl]Oxy-3-Ethyl-7-Hydroxy-2,8,12,16-Tetramethyl-5,13-Dioxo-4,17-Dioxabicyclo[14.1.0]Heptadec-14-En-10-Yl]Acetaldehyde
别名 2-[(14E)-9-[(3R,4R,5S,6R)-4-Amino-3-Hydroxy-5-[(2S,5R,6S)-5-Hydroxy-6-Methyl-Tetrahydropyran-2-Yl]Oxy-6-Methyl-Tetrahydropyran-2-Yl]Oxy-3-Ethyl-7-Hydroxy-2,8,12,16-Tetramethyl-5,13-Dioxo-4,17-Dioxabicyclo[14.1.0]Heptadec-14-En-10-Yl]Acetaldehyde; 2-[(14E)-9-[[(3R,4R,5S,6R)-4-Amino-3-Hydroxy-5-[[(2S,5R,6S)-5-Hydroxy-6-Methyl-2-Tetrahydropyranyl]Oxy]-6-Methyl-2-Tetrahydropyranyl]Oxy]-3-Ethyl-7-Hydroxy-2,8,12,16-Tetramethyl-5,13-Dioxo-4,17-Dioxabicyclo[14.1.0]Heptadec-14-En-10-Yl]Acetaldehyde; 2-[(14E)-9-[(3R,4R,5S,6R)-4-Amino-3-Hydroxy-5-[(2S,5R,6S)-5-Hydroxy-6-Methyl-Tetrahydropyran-2-Yl]Oxy-6-Methyl-Tetrahydropyran-2-Yl]Oxy-3-Ethyl-7-Hydroxy-5,13-Diketo-2,8,12,16-Tetramethyl-4,17-Dioxabicyclo[14.1.0]Heptadec-14-En-10-Yl]Acetaldehyde
分子结构 CAS 登录号:74918-31-3, 2-[(14E)-9-[(3R,4R,5S,6R)-4-氨基-3-羟基-5-[(2S,5R,6S)-5-羟基-6-甲基四氢吡喃-2-基]氧基-6-甲基四氢吡喃-2-基]氧基-3-乙基-7-羟基-2,8,12,16-四甲基-5,13-二氧代-4,17-二氧杂双环[14.1.0]十七碳-14-烯-10-基]乙醛
分子式 C35H57NO12
分子量 683.83
CAS 登录号 74918-31-3
分子行输入简码 SMILES [C@@H]1(N)[C@@H](O)C(O[C@@H]([C@H]1O[C@@H]2O[C@H]([C@H](O)CC2)C)C)OC4C(CC(C(=O)/C=C/C3(OC3C(C(OC(=O)CC(O)C4C)CC)C)C)C)CC=O
国际化学标识码 InChI 1S/C35H57NO12/c1-8-26-19(4)33-35(7,48-33)13-11-23(38)17(2)15-22(12-14-37)31(18(3)25(40)16-27(41)45-26)47-34-30(42)29(36)32(21(6)44-34)46-28-10-9-24(39)20(5)43-28/h11,13-14,17-22,24-26,28-34,39-40,42H,8-10,12,15-16,36H2,1-7H3/b13-11+/t17?,18?,19?,20-,21+,22?,24+,25?,26?,28-,29+,30+,31?,32+,33?,34?,35?/m0/s1
国际化学标识检索码 InChIKey GAYWYEZTOAUHGL-HHHNAWRGSA-N
市场分析报告
请浏览2-[(14E)-9-[(3R,4R,5S,6R)-4-氨基-3-羟基-5-[(2S,5R,6S)-5-羟基-6-甲基四氢吡喃-2-基]氧基-6-甲基四氢吡喃-2-基]氧基-3-乙基-7-羟基-2,8,12,16-四甲基-5,13-二氧代-4,17-二氧杂双环[14.1.0]十七碳-14-烯-10-基]乙醛市场分析报告总目录
相关产品
2-吡啶-2-基喹啉-4-羧酸  2-乙基-6,11-二氢-5,7,10-三羟基-6...  4-氯-N-十六烷基-1-羟基萘-2-甲酰胺  (3S,8S,9S,10R,13R,14S,17R...  三钠(4E)-5-氧代-1-(4-磺酸苯基)-4-...  N-氨基-N-乙基甲酰胺  1-[2,4-二(苯基)戊基]-2-甲基苯  alpha-羟基苄基次磷酸钠  克拉唑仑  (2S)-2-氨基-3-(4-氨基-3-羟基苯基)...  (3-氨基甲酰-3,3-二苯基丙基)二异丙基甲基铵  2-甲基-4-辛酮  3,4-二甲氧基-N-甲基-6-氧代吗喃  1,2-二氯-2,3-二氢-1H-茚  2,2,12-三甲基十三烷-1,11-二胺