Online Database of Chemicals from Around the World

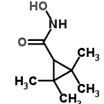
N-Hydroxy-2,2,3,3-tetramethylcyclopropanecarboxamide
[CAS# 756830-94-1]

Suppliers
Achemica Switzerland Inquire  
+41 (24) 466-2929
contact@achemica.com
Chemical manufacturer since 2010
Atomax Chemicals Co., Ltd. China Inquire  
+86 13417589054//+86 13424336463
info@atomaxchem.com,atomax.chemicals@gmail.com,
QQ Chat
Chemical manufacturer
Identification
Name N-Hydroxy-2,2,3,3-tetramethylcyclopropanecarboxamide
Synonyms 2,2,3,3-Tetramethyl-cyclopropanecarboxylic acid hydroxyamide
Molecular Structure CAS#: 756830-94-1, N-Hydroxy-2,2,3,3-tetramethylcyclopropanecarboxamide
Molecular Formula C8H15NO2
Molecular Weight 157.21
CAS Registry Number 756830-94-1
SMILES CC1(C(C1(C)C)C(=O)NO)C
InChI 1S/C8H15NO2/c1-7(2)5(6(10)9-11)8(7,3)4/h5,11H,1-4H3,(H,9,10)
InChIKey SKMMNJFFVAHDNW-UHFFFAOYSA-N
Properties
Density 1.0±0.1g/cm3 (Cal.)
Refractive index 1.47 (Cal.)
Market Analysis Reports
List of Reports Available for N-Hydroxy-2,2,3,3-tetramethylcyclopropanecarboxamide
Related Products
2,2,3,3-Tetramethylcyclopropanecarbohydr...  [(2R,3R)-2-Hydroxy-3-methyl-4-penten-1-y...  1-Methyl-1H-indazol-5-ol  3,4-Diethoxy-2-fluorobenzonitrile  (1E)-N-(4-Methoxybenzyl)ethanimine  (E)-1-Cyclohexyl-N-cyclopropylmethanimin...  (E)-N-Cyclopropyl-1-(4-methoxyphenyl)met...  (E)-N-Cyclopropyl-1-(4-fluorophenyl)meth...  5-(methoxycarbonyl-methyl-amino)pentanoi...  4-dimethylaminopentanoic acid  Bis(1,1,1,2,3,3,3-heptafluoro-2-propanyl...  1-Chloro-4-ethynyl-2-fluorobenzene  3-(2-Pyridinylmethyl)-1,2-benzenediol  1-(2,3-Dihydroxyphenyl)-4-piperidinone  2-Methyl-2-propanyl (2,3-dihydroxyphenyl...