Online Database of Chemicals from Around the World

4-氨基-2-[[2-(2,4-二氨基丁酰基氨基)-3-羟基丁酰基]氨基]-N-[6,9,18-三(2-氨基乙基)-3-(1-羟基乙基)-12-(2-甲基丙基)-2,5,8,11,14,17,20-七氧代-15-(苯基甲基)-1,4,7,10,13,16,19-七氧杂环二十三烷-21-基]丁酰胺
[CAS# 76014-40-9]

供应商
CAS#: 76014-40-9
产品: 4-氨基-2-[[2-(2,4-二氨基丁酰基氨基)-3-羟基丁酰基]氨基]-N-[6,9,18-三(2-氨基乙基)-3-(1-羟基乙基)-12-(2-甲基丙基)-2,5,8,11,14,17,20-七氧代-15-(苯基甲基)-1,4,7,10,13,16,19-七氧杂环二十三烷-21-基]丁酰胺
暂时没有厂家供应该产品。
基本信息
产品名称 4-氨基-2-[[2-(2,4-二氨基丁酰基氨基)-3-羟基丁酰基]氨基]-N-[6,9,18-三(2-氨基乙基)-3-(1-羟基乙基)-12-(2-甲基丙基)-2,5,8,11,14,17,20-七氧代-15-(苯基甲基)-1,4,7,10,13,16,19-七氧杂环二十三烷-21-基]丁酰胺
英文名 4-Amino-2-[[2-(2,4-Diaminobutanoylamino)-3-Hydroxybutanoyl]Amino]-N-[6,9,18-Tris(2-Aminoethyl)-3-(1-Hydroxyethyl)-12-(2-Methylpropyl)-2,5,8,11,14,17,20-Heptaoxo-15-(Phenylmethyl)-1,4,7,10,13,16,19-Heptazacyclotricos-21-Yl]Butanamide
别名 4-Amino-2-[[2-(2,4-Diaminobutanoylamino)-3-Hydroxy-Butanoyl]Amino]-N-[6,9,18-Tris(2-Aminoethyl)-3-(1-Hydroxyethyl)-12-Isobutyl-2,5,8,11,14,17,20-Heptaoxo-15-(Phenylmethyl)-1,4,7,10,13,16,19-Heptazacyclotricos-21-Yl]Butanamide; 4-Amino-2-[[2-[(2,4-Diamino-1-Oxobutyl)Amino]-3-Hydroxy-1-Oxobutyl]Amino]-N-[6,9,18-Tris(2-Aminoethyl)-3-(1-Hydroxyethyl)-12-Isobutyl-2,5,8,11,14,17,20-Heptaoxo-15-(Phenylmethyl)-1,4,7,10,13,16,19-Heptazacyclotricos-21-Yl]Butanamide; 4-Amino-2-[[2-(2,4-Diaminobutanoylamino)-3-Hydroxy-Butanoyl]Amino]-N-[6,9,18-Tris(2-Aminoethyl)-15-(Benzyl)-3-(1-Hydroxyethyl)-12-Isobutyl-2,5,8,11,14,17,20-Heptaketo-1,4,7,10,13,16,19-Heptazacyclotricos-21-Yl]Butyramide
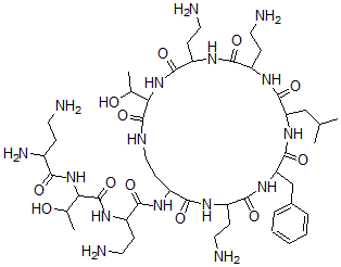
分子结构 CAS 登录号:76014-40-9, 4-氨基-2-[[2-(2,4-二氨基丁酰基氨基)-3-羟基丁酰基]氨基]-N-[6,9,18-三(2-氨基乙基)-3-(1-羟基乙基)-12-(2-甲基丙基)-2,5,8,11,14,17,20-七氧代-15-(苯基甲基)-1,4,7,10,13,16,19-七氧杂环二十三烷-21-基]丁酰胺
分子式 C47H82N16O12
分子量 1063.26
CAS 登录号 76014-40-9
分子行输入简码 SMILES C2=C(CC1NC(=O)C(NC(=O)C(NC(=O)C(NC(=O)C(NC(=O)C(N)CCN)C(O)C)CCN)CCNC(=O)C(NC(=O)C(NC(=O)C(NC(=O)C(NC1=O)CC(C)C)CCN)CCN)C(O)C)CCN)C=CC=C2
国际化学标识码 InChI 1S/C47H82N16O12/c1-24(2)22-34-44(72)57-29(11-17-49)39(67)56-32(14-20-52)43(71)63-36(25(3)64)46(74)54-21-15-33(58-40(68)31(13-19-51)59-47(75)37(26(4)65)62-38(66)28(53)10-16-48)42(70)55-30(12-18-50)41(69)61-35(45(73)60-34)23-27-8-6-5-7-9-27/h5-9,24-26,28-37,64-65H,10-23,48-53H2,1-4H3,(H,54,74)(H,55,70)(H,56,67)(H,57,72)(H,58,68)(H,59,75)(H,60,73)(H,61,69)(H,62,66)(H,63,71)
国际化学标识检索码 InChIKey RCCHKUZHMOHRGB-UHFFFAOYSA-N
物理化学性质
密度 1.333g/cm3 (计算值)
沸点 1541.288°C at 760 mmHg (计算值)
闪点 885.939°C (计算值)
市场分析报告
请浏览4-氨基-2-[[2-(2,4-二氨基丁酰基氨基)-3-羟基丁酰基]氨基]-N-[6,9,18-三(2-氨基乙基)-3-(1-羟基乙基)-12-(2-甲基丙基)-2,5,8,11,14,17,20-七氧代-15-(苯基甲基)-1,4,7,10,13,16,19-七氧杂环二十三烷-21-基]丁酰胺市场分析报告总目录
相关产品
5-(3-二甲基氨基亚丙基)苯并呋喃并(2,3-c...  N-[4-(吖啶-9-基氨基)苯基]苯甲酰胺  4-[(3-氨基吖啶-9-基)氨基]苯酚  N'-(4-氨基苯基)吖啶-3,9-二胺  4-[(3-氨基吖啶-9-基)氨基]苯磺酰胺  N-[4-[(3-氨基吖啶-9-基)氨基]苯基]苯...  N-[4-[(3,6-二氨基吖啶-9-基)氨基]苯...  汉肌松  N,N'-二甲基-N,N'-二亚硝基草酰胺  溴二乙基铝  5,8-二甲氧基-1,2,3,4-四氢异喹啉  4-(喹啉-2-基亚肼基)环己-2,5-二烯-1-...  1-环己基丙-2-醇  3-环己基丁烷-1-醇  N-(2-氨基乙基)-N-[2-(4-乙烯基苯基)...