Online Database of Chemicals from Around the World

Methyl 4-[4-Dimethylamino-5-[4-Hydroxy-6-Methyl-5-(6-Methyl-5-Oxooxan-2-Yl)Oxyoxan-2-Yl]Oxy-6-Methyloxan-2-Yl]Oxy-2-Ethyl-2,7-Dihydroxy-5-Methoxy-6,11-Dioxo-3,4-Dihydro-1H-Tetracene-1-Carboxylate
[CAS# 76264-92-1]

Suppliers
CAS#: 76264-92-1
Product: Methyl 4-[4-Dimethylamino-5-[4-Hydroxy-6-Methyl-5-(6-Methyl-5-Oxooxan-2-Yl)Oxyoxan-2-Yl]Oxy-6-Methyloxan-2-Yl]Oxy-2-Ethyl-2,7-Dihydroxy-5-Methoxy-6,11-Dioxo-3,4-Dihydro-1H-Tetracene-1-Carboxylate
No suppilers available for the product.
Identification
Name Methyl 4-[4-Dimethylamino-5-[4-Hydroxy-6-Methyl-5-(6-Methyl-5-Oxooxan-2-Yl)Oxyoxan-2-Yl]Oxy-6-Methyloxan-2-Yl]Oxy-2-Ethyl-2,7-Dihydroxy-5-Methoxy-6,11-Dioxo-3,4-Dihydro-1H-Tetracene-1-Carboxylate
Synonyms Methyl 4-[4-Dimethylamino-5-[4-Hydroxy-6-Methyl-5-(6-Methyl-5-Oxo-Tetrahydropyran-2-Yl)Oxy-Tetrahydropyran-2-Yl]Oxy-6-Methyl-Tetrahydropyran-2-Yl]Oxy-2-Ethyl-2,7-Dihydroxy-5-Methoxy-6,11-Dioxo-3,4-Dihydro-1H-Tetracene-1-Carboxylate; 4-[[4-Dimethylamino-5-[[4-Hydroxy-6-Methyl-5-[(6-Methyl-5-Oxo-2-Tetrahydropyranyl)Oxy]-2-Tetrahydropyranyl]Oxy]-6-Methyl-2-Tetrahydropyranyl]Oxy]-2-Ethyl-2,7-Dihydroxy-5-Methoxy-6,11-Dioxo-3,4-Dihydro-1H-Tetracene-1-Carboxylic Acid Methyl Ester; 4-[4-Dimethylamino-5-[4-Hydroxy-5-(5-Keto-6-Methyl-Tetrahydropyran-2-Yl)Oxy-6-Methyl-Tetrahydropyran-2-Yl]Oxy-6-Methyl-Tetrahydropyran-2-Yl]Oxy-2-Ethyl-2,7-Dihydroxy-6,11-Diketo-5-Methoxy-3,4-Dihydro-1H-Tetracene-1-Carboxylic Acid Methyl Ester
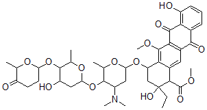
Molecular Structure CAS#: 76264-92-1, Methyl 4-[4-Dimethylamino-5-[4-Hydroxy-6-Methyl-5-(6-Methyl-5-Oxooxan-2-Yl)Oxyoxan-2-Yl]Oxy-6-Methyloxan-2-Yl]Oxy-2-Ethyl-2,7-Dihydroxy-5-Methoxy-6,11-Dioxo-3,4-Dihydro-1H-Tetracene-1-Carboxylate
Molecular Formula C43H55NO15
Molecular Weight 825.91
CAS Registry Number 76264-92-1
SMILES C1=CC=C2C(=C1O)C(C3=C(C2=O)C=C4C(=C3OC)C(CC(C4C(=O)OC)(O)CC)OC5CC(C(C(O5)C)OC6CC(C(C(O6)C)OC7CCC(C(O7)C)=O)O)N(C)C)=O
InChI 1S/C43H55NO15/c1-9-43(51)18-29(34-23(36(43)42(50)53-8)15-24-35(41(34)52-7)38(49)33-22(37(24)48)11-10-12-27(33)46)57-31-16-25(44(5)6)39(20(3)55-31)59-32-17-28(47)40(21(4)56-32)58-30-14-13-26(45)19(2)54-30/h10-12,15,19-21,25,28-32,36,39-40,46-47,51H,9,13-14,16-18H2,1-8H3
InChIKey MZKGIAGYKSRHPV-UHFFFAOYSA-N
Properties
Density 1.389g/cm3 (Cal.)
Boiling point 942.709°C at 760 mmHg (Cal.)
Flash point 523.932°C (Cal.)
Market Analysis Reports
List of Reports Available for Methyl 4-[4-Dimethylamino-5-[4-Hydroxy-6-Methyl-5-(6-Methyl-5-Oxooxan-2-Yl)Oxyoxan-2-Yl]Oxy-6-Methyloxan-2-Yl]Oxy-2-Ethyl-2,7-Dihydroxy-5-Methoxy-6,11-Dioxo-3,4-Dihydro-1H-Tetracene-1-Carboxylate
Related Products
(9R,10R)-7-[(2R,4S,6S)-4-Dimethylamino-5...  (2S,4S)-2-Amino-4-Chloropentanoic Acid  [30-Oxo-16-Sulfooxy-2-[(E)-2-Sulfooxyund...  Nodusmicin  1-Chloro-3-[(2E)-3,7-Dimethylocta-2,6-Di...  [7,7-Dimethyl-2-Oxobicyclo[2.2.1]Hept-1-...  Allyltrimethylgermane  1-Carbamoyl-3,3-Dimethyl-1-(2-Methylphen...  2-[(Methyl-(Methylcarbamoyl)Carbamoyl)Am...  1-Carbamoyl-1-(3-Chlorophenyl)-3-Ethylur...  1-Carbamoyl-1-Ethyl-3-(2-Methyl-3H-Thiop...  1-Carbamoyl-3-(2-Methylphenyl)-1-Propan-...  1-Carbamoyl-1-Phenyl-3-Prop-2-Enylurea  1-Tert-Butyl-1-Carbamoyl-3-(2-Methylphen...  1-Carbamoyl-3-(2-Methylphenyl)-1-Pentylu...