Online Database of Chemicals from Around the World

[1-(Hydroxy-(2-Hydroxyethoxy)Phosphoryl)Oxy-3-[(E)-Octadec-9-Enoyl]Oxypropan-2-Yl] (E)-Octadec-9-Enoate
[CAS# 76391-83-8]

Suppliers
CAS#: 76391-83-8
Product: [1-(Hydroxy-(2-Hydroxyethoxy)Phosphoryl)Oxy-3-[(E)-Octadec-9-Enoyl]Oxypropan-2-Yl] (E)-Octadec-9-Enoate
No suppilers available for the product.
Identification
Name [1-(Hydroxy-(2-Hydroxyethoxy)Phosphoryl)Oxy-3-[(E)-Octadec-9-Enoyl]Oxypropan-2-Yl] (E)-Octadec-9-Enoate
Synonyms [1-[(Hydroxy-(2-Hydroxyethoxy)Phosphoryl)Oxymethyl]-2-[(E)-Octadec-9-Enoyl]Oxy-Ethyl] (E)-Octadec-9-Enoate; (E)-Octadec-9-Enoic Acid [1-[(Hydroxy-(2-Hydroxyethoxy)Phosphoryl)Oxymethyl]-2-[(E)-1-Oxooctadec-9-Enoxy]Ethyl] Ester; (E)-Octadec-9-Enoic Acid [1-[(Hydroxy-(2-Hydroxyethoxy)Phosphoryl)Oxymethyl]-2-[(E)-Octadec-9-Enoyl]Oxy-Ethyl] Ester
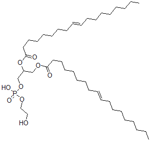
Molecular Structure CAS#: 76391-83-8, [1-(Hydroxy-(2-Hydroxyethoxy)Phosphoryl)Oxy-3-[(E)-Octadec-9-Enoyl]Oxypropan-2-Yl] (E)-Octadec-9-Enoate
Molecular Formula C41H77O9P
Molecular Weight 745.03
CAS Registry Number 76391-83-8
SMILES C(O[P](OCCO)(=O)O)C(OC(=O)CCCCCCC\C=C\CCCCCCCC)COC(=O)CCCCCCC\C=C\CCCCCCCC
InChI 1S/C41H77O9P/c1-3-5-7-9-11-13-15-17-19-21-23-25-27-29-31-33-40(43)47-37-39(38-49-51(45,46)48-36-35-42)50-41(44)34-32-30-28-26-24-22-20-18-16-14-12-10-8-6-4-2/h17-20,39,42H,3-16,21-38H2,1-2H3,(H,45,46)/b19-17+,20-18+
InChIKey HMNZFMSWFCAGGW-XPWSMXQVSA-N
Properties
Density 1.018g/cm3 (Cal.)
Boiling point 763.281°C at 760 mmHg (Cal.)
Flash point 415.418°C (Cal.)
Market Analysis Reports
List of Reports Available for [1-(Hydroxy-(2-Hydroxyethoxy)Phosphoryl)Oxy-3-[(E)-Octadec-9-Enoyl]Oxypropan-2-Yl] (E)-Octadec-9-Enoate
Related Products
3',6'-Dihydroxy-4',5'-Diiodo-6-Isothiocy...  1,3,4,5,5,5a,5b,6-Octachlorooctahydro-1,...  1-(2-Chlorophenyl)-3-(2-Fluorophenyl)Ure...  3-Hexen-2-One  (3-Morpholin-4-Yl-2-Oxopropyl)-Triphenyl...  6,7-Dihydroxy-3-(4-Methoxyphenyl)Chroman...  3-(4-Methoxyphenyl)Chroman-6,7-Diol  1,4-Bis[(2,6-Dimethylphenyl)Amino]Anthra...  2-[[(2S)-1-[[(2S)-1-Hydroxy-3-(1H-Indol-...  (12-beta,22E,24E)-12-(Acetyloxy)-22,23,2...  7-Bromo-5-Chloro-8-Hydroxyquinoline  3,5-Diiodo-4-Isothiocyanatobenzenesulfon...  1-[8-(2,5-Dioxopyrrolidin-1-Yl)-8-Oxooct...  2,2,3-Trichlorobutane-1,1-Diol  Dolo Visano