Online Database of Chemicals from Around the World

己烷二肼基n酰胺
[CAS# 7707-23-5]

供应商
Achemica 瑞士 询价快递  
+41 (24) 466-2929
contact@achemica.com
化学品生产商(2010 年起)
International Laboratory Limited 美国 询价快递  
+1 (650) 278-9963
admin@intlab.org
化学品生产商(2002 年起)
基本信息
产品名称 己烷二肼基n酰胺
英文名 Hexanedihydrazonamide
别名 1,4-Bis(imino-hydrazino-methyl)butane
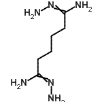
分子结构 CAS 登录号:7707-23-5, 己烷二肼基n酰胺
分子式 C6H16N6
分子量 172.23
CAS 登录号 7707-23-5
分子行输入简码 SMILES N(=C(N)CCCCC(=NN)N)N
国际化学标识码 InChI 1S/C6H16N6/c7-5(11-9)3-1-2-4-6(8)12-10/h1-4,9-10H2,(H2,7,11)(H2,8,12)
国际化学标识检索码 InChIKey WNGRNVCFBQYRKR-UHFFFAOYSA-N
物理化学性质
密度 1.371g/cm3 (计算值)
沸点 417.355°C at 760 mmHg (计算值)
闪点 206.209°C (计算值)
市场分析报告
请浏览己烷二肼基n酰胺市场分析报告总目录
相关产品
戊烷二肼基n酰胺  乙基螺[双环[3.2.0]庚烷-6,1'-环丙烷]...  (4R,5R,6S)-6-异丙基-4,5-二甲基四...  乙基(3Z)-3-氨基-3-甲酰基亚胺-丙酸酯  乙基(3Z)-3-氨基-3-甲酰基亚胺-丙酸酯  2-(2-甲基-1-丙烯-1-基)吡咯烷  2-(2-甲基-1-丙烯-1-基)吡咯烷  3-(2-羟基-2-丙基)-1,4,5,6,7,7...  3-(2-羟基丙基)-1,4,5,6,7,7a-六...  3-[羟基(二甲基)硅烷基]-L-丙氨酸  甲基(1S,2S)-1-氨基-2-(3-丁烯-1-...  甲基(1R,2R)-1-氨基-2-(3-丁烯-1-...  (4R,5S)-5-烯丙基-4-羟基-3-亚甲基二...  甲基4-亚甲基-5-氧代-4,5-二氢-1H-吡咯...  2-[(4-甲基-2-吡啶基)氨基]乙醇