Online Database of Chemicals from Around the World

3-[[3-Amino-6-[[2-[2-[2-[[2-[[4-[[2-[[6-Amino-2-[3-Amino-1-[(2,3-Diamino-3-Oxopropyl)Amino]-3-Oxopropyl]-5-Methylpyrimidine-4-Carbonyl]Amino]-3-[3-[4-Carbamoyloxy-3,5-Dihydroxy-6-(Hydroxymethyl)Oxan-2-Yl]Oxy-4,5-Dihydroxy-6-(Hydroxymethyl)Oxan-2-Yl]Oxy-3-(3H-Imidazol-4-Yl)Propanoyl]Amino]-3-Hydroxypentanoyl]Amino]-3-Hydroxybutanoyl]Amino]-2-(5-Amino-3,4-Dihydroxy-6-Methyloxan-2-Yl)Oxy-1-Hydroxyethyl]-1,3-Thiazol-4-Yl]1,3-Thiazole-4-Carbonyl]Amino]Hexanoyl]Amino]Propyl-Dimethylsulfanium
[CAS# 77368-65-1]

Suppliers
CAS#: 77368-65-1
Product: 3-[[3-Amino-6-[[2-[2-[2-[[2-[[4-[[2-[[6-Amino-2-[3-Amino-1-[(2,3-Diamino-3-Oxopropyl)Amino]-3-Oxopropyl]-5-Methylpyrimidine-4-Carbonyl]Amino]-3-[3-[4-Carbamoyloxy-3,5-Dihydroxy-6-(Hydroxymethyl)Oxan-2-Yl]Oxy-4,5-Dihydroxy-6-(Hydroxymethyl)Oxan-2-Yl]Oxy-3-(3H-Imidazol-4-Yl)Propanoyl]Amino]-3-Hydroxypentanoyl]Amino]-3-Hydroxybutanoyl]Amino]-2-(5-Amino-3,4-Dihydroxy-6-Methyloxan-2-Yl)Oxy-1-Hydroxyethyl]-1,3-Thiazol-4-Yl]1,3-Thiazole-4-Carbonyl]Amino]Hexanoyl]Amino]Propyl-Dimethylsulfanium
No suppilers available for the product.
Identification
Name 3-[[3-Amino-6-[[2-[2-[2-[[2-[[4-[[2-[[6-Amino-2-[3-Amino-1-[(2,3-Diamino-3-Oxopropyl)Amino]-3-Oxopropyl]-5-Methylpyrimidine-4-Carbonyl]Amino]-3-[3-[4-Carbamoyloxy-3,5-Dihydroxy-6-(Hydroxymethyl)Oxan-2-Yl]Oxy-4,5-Dihydroxy-6-(Hydroxymethyl)Oxan-2-Yl]Oxy-3-(3H-Imidazol-4-Yl)Propanoyl]Amino]-3-Hydroxypentanoyl]Amino]-3-Hydroxybutanoyl]Amino]-2-(5-Amino-3,4-Dihydroxy-6-Methyloxan-2-Yl)Oxy-1-Hydroxyethyl]-1,3-Thiazol-4-Yl]1,3-Thiazole-4-Carbonyl]Amino]Hexanoyl]Amino]Propyl-Dimethylsulfanium
Synonyms 3-[[3-Amino-6-[[2-[2-[2-[[2-[[4-[[2-[[6-Amino-2-[3-Amino-1-[(2,3-Diamino-3-Keto-Propyl)Amino]-3-Keto-Propyl]-5-Methyl-Pyrimidine-4-Carbonyl]Amino]-3-[3-(4-Carbamoyloxy-3,5-Dihydroxy-6-Methylol-Tetrahydropyran-2-Yl)Oxy-4,5-Dihydroxy-6-Methylol-Tetrahydropyran-2-Yl]Oxy-3-(3H-Imidazol-4-Yl)Propanoyl]Amino]-3-Hydroxy-Pentanoyl]Amino]-3-Hydroxy-Butanoyl]Amino]-2-(5-Amino-3,4-Dihydroxy-6-Methyl-Tetrahydropyran-2-Yl)Oxy-1-Hydroxy-Ethyl]Thiazol-4-Yl]Thiazole-4-Carbonyl]Amino]Hexanoyl]Amino]Propyl-Dimethyl-Sulfonium; 3-[[3-Amino-6-[[2-[2-[2-[[2-[[4-[[2-[[6-Amino-2-[3-Amino-1-[(2,3-Diamino-3-Oxo-Propyl)Amino]-3-Oxo-Propyl]-5-Methyl-Pyrimidin-4-Yl]Carbonylamino]-3-[3-[4-Aminocarbonyloxy-3,5-Dihydroxy-6-(Hydroxymethyl)Oxan-2-Yl]Oxy-4,5-Dihydroxy-6-(Hydroxymethyl)Oxan-2-Yl]Oxy-3-(3H-Imidazol-4-Yl)Propanoyl]Amino]-3-Hydroxy-Pentanoyl]Amino]-3-Hydroxy-Butanoyl]Amino]-2-(5-Amino-3,4-Dihydroxy-6-Methyl-Oxan-2-Yl)Oxy-1-Hydroxy-Ethyl]-1,3-Thiazol-4-Yl]-1,3-Thiazol-4-Yl]Carbonylamino]Hexanoyl]Amino]Propyl-Dimethyl-Sulfanium; Bleomycinamide, 13-((4-Amino-4,6-Dideoxy-Alpha-L-Talopyranosyl)Oxy)-N(Sup 1)-(4-Amino-5-((3-(Dimethylsulfonio)Propyl)Carbamoyl)Pentyl)-19-Demethyl-12-Hydroxy-, Chloride, Copper Complex
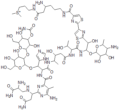
Molecular Structure CAS#: 77368-65-1, 3-[[3-Amino-6-[[2-[2-[2-[[2-[[4-[[2-[[6-Amino-2-[3-Amino-1-[(2,3-Diamino-3-Oxopropyl)Amino]-3-Oxopropyl]-5-Methylpyrimidine-4-Carbonyl]Amino]-3-[3-[4-Carbamoyloxy-3,5-Dihydroxy-6-(Hydroxymethyl)Oxan-2-Yl]Oxy-4,5-Dihydroxy-6-(Hydroxymethyl)Oxan-2-Yl]Oxy-3-(3H-Imidazol-4-Yl)Propanoyl]Amino]-3-Hydroxypentanoyl]Amino]-3-Hydroxybutanoyl]Amino]-2-(5-Amino-3,4-Dihydroxy-6-Methyloxan-2-Yl)Oxy-1-Hydroxyethyl]-1,3-Thiazol-4-Yl]1,3-Thiazole-4-Carbonyl]Amino]Hexanoyl]Amino]Propyl-Dimethylsulfanium
Molecular Formula C66H105N20O27S3
Molecular Weight 1706.85
CAS Registry Number 77368-65-1
SMILES C1=C(N=C(S1)C(C(NC(C(C(C)O)NC(CC(C(NC(C(C(C2=CN=C[NH]2)OC3C(C(C(C(O3)CO)O)O)OC4OC(C(C(C4O)OC(N)=O)O)CO)NC(C5=NC(=NC(=C5C)N)C(NCC(C(N)=O)N)CC(N)=O)=O)=O)C)O)=O)=O)OC6C(C(C(C(O6)C)N)O)O)O)C7=NC(=CS7)C(NCCCC(CC(NCCC[S+](C)C)=O)N)=O
InChI 1S/C66H104N20O27S3/c1-23-40(83-55(85-53(23)71)29(14-36(69)91)77-16-28(68)54(72)101)57(103)84-42(50(30-17-74-22-78-30)110-65-52(46(97)43(94)34(18-87)109-65)111-64-48(99)51(112-66(73)106)44(95)35(19-88)108-64)59(105)79-24(2)33(90)15-38(93)82-41(25(3)89)58(104)86-60(113-63-47(98)45(96)39(70)26(4)107-63)49(100)62-81-32(21-115-62)61-80-31(20-114-61)56(102)76-10-7-9-27(67)13-37(92)75-11-8-12-116(5)6/h17,20-22,24-29,33-35,39,41-52,60,63-65,77,87-90,94-100H,7-16,18-19,67-68,70H2,1-6H3,(H14-,69,71,72,73,74,75,76,78,79,82,83,84,85,86,91,92,93,101,102,103,104,105,106)/p+1
InChIKey OBANNAIFKNMTDV-UHFFFAOYSA-O
Market Analysis Reports
List of Reports Available for 3-[[3-Amino-6-[[2-[2-[2-[[2-[[4-[[2-[[6-Amino-2-[3-Amino-1-[(2,3-Diamino-3-Oxopropyl)Amino]-3-Oxopropyl]-5-Methylpyrimidine-4-Carbonyl]Amino]-3-[3-[4-Carbamoyloxy-3,5-Dihydroxy-6-(Hydroxymethyl)Oxan-2-Yl]Oxy-4,5-Dihydroxy-6-(Hydroxymethyl)Oxan-2-Yl]Oxy-3-(3H-Imidazol-4-Yl)Propanoyl]Amino]-3-Hydroxypentanoyl]Amino]-3-Hydroxybutanoyl]Amino]-2-(5-Amino-3,4-Dihydroxy-6-Methyloxan-2-Yl)Oxy-1-Hydroxyethyl]-1,3-Thiazol-4-Yl]1,3-Thiazole-4-Carbonyl]Amino]Hexanoyl]Amino]Propyl-Dimethylsulfanium
Related Products
[2-[2-[2-[[6-Amino-2-[3-Amino-1-[(2,3-Di...  [2-[2-[3-[[5-[[1-[[2-[4-[4-[[4-Amino-6-(...  [2-[2-[2-[[6-Amino-2-[3-amino-1-[(2,3-di...  [2-[2-[2-[[6-Amino-2-[3-Amino-1-[(2,3-Di...  [2-[2-[2-[[6-Amino-2-[3-Amino-1-[(2,3-Di...  [2-[2-[2-[[6-Amino-2-[3-Amino-1-[(2,3-Di...  [2-[2-[2-[[6-Amino-2-[3-Amino-1-[(2,3-Di...  [2-[2-[2-[[6-Amino-2-[3-Amino-1-[(2,3-Di...  [2-[2-[2-[[6-Amino-2-[3-Amino-1-[(2,3-Di...  [2-[2-[2-[[6-Amino-2-[3-Amino-1-[(2,3-Di...  [2-[2-[2-[[6-Amino-2-[3-Amino-1-[(2,3-Di...  [2-[2-[2-[[6-Amino-2-[3-Amino-1-[(2,3-Di...  [2-[2-[2-[[6-Amino-2-[3-amino-1-[(2,3-di...  [(6aR,9R,10R,10aR)-1-Acetyloxy-9-Hydroxy...  1,1'-Oxybis[2-Chloroethanol]