Online Database of Chemicals from Around the World

[2-[2-[2-[[6-氨基-2-[3-氨基-1-[(2,3-二氨基-3-氧代丙基)氨基]-3-氧代丙基]-5-甲基嘧啶-4-羰基]氨基]-3-[[5-[[1-[[1-(5-氨基-3,4-二羟基-6-甲基四氢吡喃-2-基)氧基-2-羟基-2-[4-[4-(3-甲基氨基丙基氨基甲酰)-1,3-噻唑-2-基]-1,3-噻唑-2-基]乙基]氨基]-3-羟基-1-氧代丁烷-2-基]氨基]-3-羟基-5-氧代戊烷-2-基]氨基]-1-(3H-咪唑-4-基)-3-氧代丙氧基]-4,5-二羟基-6-(羟基甲基)四氢吡喃-3-基]氧基-3,5-二羟基-6-(羟基甲基)四氢吡喃-4-基]氨基甲酸酯
[CAS# 77368-77-5]

供应商
CAS#: 77368-77-5
产品: [2-[2-[2-[[6-氨基-2-[3-氨基-1-[(2,3-二氨基-3-氧代丙基)氨基]-3-氧代丙基]-5-甲基嘧啶-4-羰基]氨基]-3-[[5-[[1-[[1-(5-氨基-3,4-二羟基-6-甲基四氢吡喃-2-基)氧基-2-羟基-2-[4-[4-(3-甲基氨基丙基氨基甲酰)-1,3-噻唑-2-基]-1,3-噻唑-2-基]乙基]氨基]-3-羟基-1-氧代丁烷-2-基]氨基]-3-羟基-5-氧代戊烷-2-基]氨基]-1-(3H-咪唑-4-基)-3-氧代丙氧基]-4,5-二羟基-6-(羟基甲基)四氢吡喃-3-基]氧基-3,5-二羟基-6-(羟基甲基)四氢吡喃-4-基]氨基甲酸酯
暂时没有厂家供应该产品。
基本信息
产品名称 [2-[2-[2-[[6-氨基-2-[3-氨基-1-[(2,3-二氨基-3-氧代丙基)氨基]-3-氧代丙基]-5-甲基嘧啶-4-羰基]氨基]-3-[[5-[[1-[[1-(5-氨基-3,4-二羟基-6-甲基四氢吡喃-2-基)氧基-2-羟基-2-[4-[4-(3-甲基氨基丙基氨基甲酰)-1,3-噻唑-2-基]-1,3-噻唑-2-基]乙基]氨基]-3-羟基-1-氧代丁烷-2-基]氨基]-3-羟基-5-氧代戊烷-2-基]氨基]-1-(3H-咪唑-4-基)-3-氧代丙氧基]-4,5-二羟基-6-(羟基甲基)四氢吡喃-3-基]氧基-3,5-二羟基-6-(羟基甲基)四氢吡喃-4-基]氨基甲酸酯
英文名 [2-[2-[2-[[6-Amino-2-[3-Amino-1-[(2,3-Diamino-3-Oxopropyl)Amino]-3-Oxopropyl]-5-Methylpyrimidine-4-Carbonyl]Amino]-3-[[5-[[1-[[1-(5-Amino-3,4-Dihydroxy-6-Methyloxan-2-Yl)Oxy-2-Hydroxy-2-[4-[4-(3-Methylaminopropylcarbamoyl)-1,3-Thiazol-2-Yl]-1,3-Thiazol-2-Yl]Ethyl]Amino]-3-Hydroxy-1-Oxobutan-2-Yl]Amino]-3-Hydroxy-5-Oxopentan-2-Yl]Amino]-1-(3H-Imidazol-4-Yl)-3-Oxopropoxy]-4,5-Dihydroxy-6-(Hydroxymethyl)Oxan-3-Yl]Oxy-3,5-Dihydroxy-6-(Hydroxymethyl)Oxan-4-Yl] Carbamate
别名 [2-[2-[2-[[6-Amino-2-[3-Amino-1-[(2,3-Diamino-3-Oxo-Propyl)Amino]-3-Oxo-Propyl]-5-Methyl-Pyrimidine-4-Carbonyl]Amino]-3-[[4-[[1-[[1-(5-Amino-3,4-Dihydroxy-6-Methyl-Tetrahydropyran-2-Yl)Oxy-2-Hydroxy-2-[4-[4-(3-Methylaminopropylcarbamoyl)Thiazol-2-Yl]Thiazol-2-Yl]Ethyl]Carbamoyl]-2-Hydroxy-Propyl]Amino]-2-Hydroxy-1-Methyl-4-Oxo-Butyl]Amino]-1-(3H-Imidazol-4-Yl)-3-Oxo-Propoxy]-4,5-Dihydroxy-6-(Hydroxymethyl)Tetrahydropyran-3-Yl]Oxy-3,5-Dihydroxy-6-(Hydroxymethyl)Tetrahydropyran-4-Yl] Carbamate; Carbamic Acid [2-[2-[2-[[6-Amino-2-[3-Amino-1-[(2,3-Diamino-3-Keto-Propyl)Amino]-3-Keto-Propyl]-5-Methyl-Pyrimidine-4-Carbonyl]Amino]-3-[[4-[[1-[[1-(5-Amino-3,4-Dihydroxy-6-Methyl-Tetrahydropyran-2-Yl)Oxy-2-Hydroxy-2-[4-[4-(3-Methylaminopropylcarbamoyl)Thiazol-2-Yl]Thiazol-2-Yl]Ethyl]Carbamoyl]-2-Hydroxy-Propyl]Amino]-2-Hydroxy-4-Keto-1-Methyl-Butyl]Amino]-1-(3H-Imidazol-4-Yl)-3-Keto-Propoxy]-4,5-Dihydroxy-6-Methylol-Tetrahydropyran-3-Yl]Oxy-3,5-Dihydroxy-6-Methylol-Tetrahydropyran-4-Yl] Ester; [2-[2-[2-[[6-Amino-2-[3-Amino-1-[(2,3-Diamino-3-Oxo-Propyl)Amino]-3-Oxo-Propyl]-5-Methyl-Pyrimidin-4-Yl]Carbonylamino]-3-[[5-[[1-[[1-(5-Amino-3,4-Dihydroxy-6-Methyl-Oxan-2-Yl)Oxy-2-Hydroxy-2-[4-[4-(3-Methylaminopropylcarbamoyl)-1,3-Thiazol-2-Yl]-1,3-Thiazol-2-Yl]Ethyl]Amino]-3-Hydroxy-1-Oxo-Butan-2-Yl]Amino]-3-Hydroxy-5-Oxo-Pentan-2-Yl]Amino]-1-(3H-Imidazol-4-Yl)-3-Oxo-Propoxy]-4,5-Dihydroxy-6-(Hydroxymethyl)Oxan-3-Yl]Oxy-3,5-Dihydroxy-6-(Hydroxymethyl)Oxan-4-Yl] Carbamate
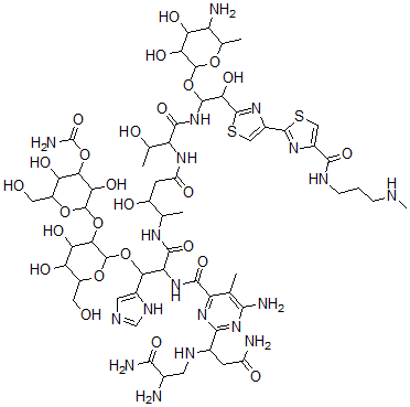
分子结构 CAS 登录号:77368-77-5, [2-[2-[2-[[6-氨基-2-[3-氨基-1-[(2,3-二氨基-3-氧代丙基)氨基]-3-氧代丙基]-5-甲基嘧啶-4-羰基]氨基]-3-[[5-[[1-[[1-(5-氨基-3,4-二羟基-6-甲基四氢吡喃-2-基)氧基-2-羟基-2-[4-[4-(3-甲基氨基丙基氨基甲酰)-1,3-噻唑-2-基]-1,3-噻唑-2-基]乙基]氨基]-3-羟基-1-氧代丁烷-2-基]氨基]-3-羟基-5-氧代戊烷-2-基]氨基]-1-(3H-咪唑-4-基)-3-氧代丙氧基]-4,5-二羟基-6-(羟基甲基)四氢吡喃-3-基]氧基-3,5-二羟基-6-(羟基甲基)四氢吡喃-4-基]氨基甲酸酯
分子式 C59H91N19O26S2
分子量 1546.60
CAS 登录号 77368-77-5
分子行输入简码 SMILES C1=C(N=C(S1)C(C(NC(C(C(C)O)NC(CC(C(NC(C(C(C2=CN=C[NH]2)OC3C(C(C(C(O3)CO)O)O)OC4OC(C(C(C4O)OC(N)=O)O)CO)NC(C5=NC(=NC(=C5C)N)C(NCC(C(N)=O)N)CC(N)=O)=O)=O)C)O)=O)=O)OC6C(C(C(C(O6)C)N)O)O)O)C7=NC(=CS7)C(NCCCNC)=O
国际化学标识码 InChI 1S/C59H91N19O26S2/c1-18-33(75-48(77-46(18)63)23(9-30(61)83)69-11-22(60)47(64)92)50(94)76-35(43(24-12-67-17-70-24)101-58-45(39(88)36(85)28(13-79)100-58)102-57-41(90)44(103-59(65)97)37(86)29(14-80)99-57)52(96)71-19(2)27(82)10-31(84)74-34(20(3)81)51(95)78-53(104-56-40(89)38(87)32(62)21(4)98-56)42(91)55-73-26(16-106-55)54-72-25(15-105-54)49(93)68-8-6-7-66-5/h12,15-17,19-23,27-29,32,34-45,53,56-58,66,69,79-82,85-91H,6-11,13-14,60,62H2,1-5H3,(H2,61,83)(H2,64,92)(H2,65,97)(H,67,70)(H,68,93)(H,71,96)(H,74,84)(H,76,94)(H,78,95)(H2,63,75,77)
国际化学标识检索码 InChIKey CVLZYFXMGKWINC-UHFFFAOYSA-N
物理化学性质
密度 1.645g/cm3 (计算值)
市场分析报告
请浏览[2-[2-[2-[[6-氨基-2-[3-氨基-1-[(2,3-二氨基-3-氧代丙基)氨基]-3-氧代丙基]-5-甲基嘧啶-4-羰基]氨基]-3-[[5-[[1-[[1-(5-氨基-3,4-二羟基-6-甲基四氢吡喃-2-基)氧基-2-羟基-2-[4-[4-(3-甲基氨基丙基氨基甲酰)-1,3-噻唑-2-基]-1,3-噻唑-2-基]乙基]氨基]-3-羟基-1-氧代丁烷-2-基]氨基]-3-羟基-5-氧代戊烷-2-基]氨基]-1-(3H-咪唑-4-基)-3-氧代丙氧基]-4,5-二羟基-6-(羟基甲基)四氢吡喃-3-基]氧基-3,5-二羟基-6-(羟基甲基)四氢吡喃-4-基]氨基甲酸酯市场分析报告总目录
相关产品
[2-[2-[2-[[6-氨基-2-[3-氨基-1...  [2-[2-[2-[[6-氨基-2-[3-氨基-1...  [2-[2-[2-[[6-氨基-2-[3-氨基-1...  [(6aR,9R,10R,10aR)-1-乙酰氧基...  1,1'-氧基二[2-氯乙醇]  丙环定  (1S,3R,5Z)-5-[(2E)-2-[(1R...  吡啶-1-鎓[[2-(4-丁氧基苯基)乙酰基]氨基...  吡啶-1-鎓(萘-2-羰基氨基)硫酸盐  (2S,5R)-6-[[3-[二(苯基)甲基]-5...  1-氮丙啶-1-基-2,3-二氢-1H-茚-2-醇  (3-丁基-3-羟基-2-氧代-庚基)4-硝基苯甲...  5-甲基-2-[(E)-3-苯基丙-2-烯酰基]苯...  (2-硝基苯基)甲基乙酸酯  3,3-二甲基丁-1-炔基膦