Online Database of Chemicals from Around the World

Magurlit
[CAS# 78090-19-4]

供应商
CAS#: 78090-19-4
产品: Magurlit
暂时没有厂家供应该产品。
基本信息
产品名称 Magurlit
英文名 Magurlit
别名 Magnesium; Tripotassium; Trisodium; 4,5-Bis(Hydroxymethyl)-2-Methyl-Pyridin-3-Ol; 2-(Carboxymethyl)-2-Hydroxy-Butanedioate; Citric Acid
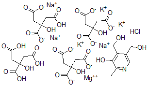
分子结构 CAS 登录号:78090-19-4, Magurlit
分子式 C32H36ClK3MgNNa3O31
分子量 1176.65
CAS 登录号 78090-19-4
分子行输入简码 SMILES [Mg++].OC(CC(O)=O)(CC(O)=O)C(O)=O.OC(CC(O)=O)(CC([O-])=O)C([O-])=O.OC(CC([O-])=O)(CC([O-])=O)C([O-])=O.OC(CC([O-])=O)(CC([O-])=O)C([O-])=O.OC1=C(C(=CN=C1C)CO)CO.[H+].[K+].[K+].[K+].[Na+].[Na+].[Na+].[Cl-]
国际化学标识码 InChI 1S/C8H11NO3.4C6H8O7.ClH.3K.Mg.3Na/c1-5-8(12)7(4-11)6(3-10)2-9-5;4*7-3(8)1-6(13,5(11)12)2-4(9)10;;;;;;;;/h2,10-12H,3-4H2,1H3;4*13H,1-2H2,(H,7,8)(H,9,10)(H,11,12);1H;;;;;;;/q;;;;;;3*+1;+2;3*+1/p-8
国际化学标识检索码 InChIKey IVIUVNUZNPMEIH-UHFFFAOYSA-F
物理化学性质
沸点 309.6°C at 760 mmHg (计算值)
闪点 155.2°C (计算值)
市场分析报告
请浏览Magurlit市场分析报告总目录
相关产品
2,2-二甲基戊二酸二乙基酯  5-(4-甲基戊烷-2-基)-1,3-二嗪农-2,...  2-((4-吡啶甲基)硫代)乙醇磷酸盐(1:1)  7,8-二甲基异咯嗪-10-乙酸-腺嘌呤-9-基乙...  (5R,7R,8R,9S,10S,12S,13R,...  (6R)-6-[(5R,7R,8R,9S,10S,...  4-[2-羟基-3-(丙-2-基氨基)丙氧基]-3...  2-[2-(2-棕榈酰氧基乙氧基)乙氧基]硬脂酸乙...  13alpha-乙基-2,3,5,6,13a,13...  2-氟-N-[(2S,3R,4S,5R)-3,4,...  1-甲基-4-(3-甲基丁-3-烯氧基磺酰基)苯  4,4-二甲基-2,3-二氢-1H-萘-1-甲腈  4-[1-甲基-4-(苯基甲基)哌啶-4-基]氧基...  1-甲基环丙烷-1-甲腈  10H-咪唑并[2,1-c][1,4]苯并二氮杂卓