Online Database of Chemicals from Around the World

大豆皂甙A1
[CAS# 78693-94-4]

供应商
CAS#: 78693-94-4
产品: 大豆皂甙A1
暂时没有厂家供应该产品。
基本信息
产品名称 大豆皂甙A1
英文名 Soyasaponin A1
别名 (2S,3S,4S,5R,6R)-6-[[(3S,4S,4Ar,6Ar,6Bs,8Ar,9S,10R,12As,14Ar,14Br)-9-[(2S,3R,4S,5S)-3,5-Dihydroxy-4-[(2S,3R,4S,5S,6R)-3,4,5-Trihydroxy-6-Methylol-Tetrahydropyran-2-Yl]Oxy-Tetrahydropyran-2-Yl]Oxy-10-Hydroxy-4,6A,6B,8A,11,11,14B-Heptamethyl-4-Methylol-1,2,3,4A,5,6,7,8,9,10,12,12A,14,14A-Tetradecahydropicen-3-Yl]Oxy]-5-[(2S,3R,4S,5R,6R)-4,5-Dihydroxy-6-Methylol-3-[(2S,3R,4S,5S,6R)-3,4,5-Trihydroxy-6-Methylol-Tetrahydropyran-2-Yl]Oxy-Tetrahydropyran-2-Yl]Oxy-3,4-Dihydroxy-Tetrahydropyran-2-Carboxylic Acid; (2S,3S,4S,5R,6R)-6-[[(3S,4S,4Ar,6Ar,6Bs,8Ar,9S,10R,12As,14Ar,14Br)-9-[(2S,3R,4S,5S)-3,5-Dihydroxy-4-[(2S,3R,4S,5S,6R)-3,4,5-Trihydroxy-6-(Hydroxymethyl)Oxan-2-Yl]Oxy-Oxan-2-Yl]Oxy-10-Hydroxy-4-(Hydroxymethyl)-4,6A,6B,8A,11,11,14B-Heptamethyl-1,2,3,4A,5,6,7,8,9,10,12,12A,14,14A-Tetradecahydropicen-3-Yl]Oxy]-5-[(2S,3R,4S,5R,6R)-4,5-Dihydroxy-6-(Hydroxymethyl)-3-[(2S,3R,4S,5S,6R)-3,4,5-Trihydroxy-6-(Hydroxymethyl)Oxan-2-Yl]Oxy-Oxan-2-Yl]Oxy-3,4-Dihydroxy-Oxane-2-Carboxylic Acid; C08982
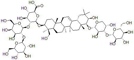
分子结构 CAS 登录号:78693-94-4, 大豆皂甙A1
分子式 C59H96O29
分子量 1269.39
CAS 登录号 78693-94-4
分子行输入简码 SMILES [C@@]16([C@@H]([C@@]5([C@@H](CC1)[C@]([C@@H](O[C@@H]2O[C@@H]([C@@H](O)[C@H](O)[C@H]2O[C@@H]3O[C@@H]([C@H](O)[C@H](O)[C@H]3O[C@@H]4O[C@@H]([C@@H](O)[C@H](O)[C@H]4O)CO)CO)C(O)=O)CC5)(CO)C)C)CC=C7[C@]6(CC[C@@]8([C@H]7CC([C@@H](O)[C@H]8O[C@@H]%10OC[C@H](O)[C@H](O[C@@H]9O[C@@H]([C@@H](O)[C@H](O)[C@H]9O)CO)[C@H]%10O)(C)C)C)C)C
国际化学标识码 InChI 1S/C59H96O29/c1-54(2)16-23-22-8-9-29-56(4)12-11-30(83-53-45(38(72)37(71)43(85-53)48(77)78)87-52-44(36(70)33(67)27(19-62)82-52)86-51-40(74)35(69)32(66)26(18-61)81-51)57(5,21-63)28(56)10-13-59(29,7)58(22,6)15-14-55(23,3)47(46(54)76)88-49-41(75)42(24(64)20-79-49)84-50-39(73)34(68)31(65)25(17-60)80-50/h8,23-47,49-53,60-76H,9-21H2,1-7H3,(H,77,78)/t23-,24-,25+,26+,27+,28+,29+,30-,31+,32+,33-,34-,35-,36-,37-,38-,39+,40+,41+,42-,43-,44+,45+,46-,47+,49-,50-,51-,52-,53+,55+,56-,57+,58+,59+/m0/s1
国际化学标识检索码 InChIKey XFXHYKZIZSNVSQ-TZRAUYBZSA-N
物理化学性质
密度 1.562g/cm3 (计算值)
市场分析报告
请浏览大豆皂甙A1市场分析报告总目录
相关产品
(SP-5-13)-氯(8-乙烯基-3,7,12,...  2-[(4-二甲基氨基偶氮苯基)-[2-(9H-芴...  [4-(苯甲酰基)苯基]甲烷磺酸钠  (4-苯甲酰基苯基)甲基-三甲基溴化铵  (4-苯甲酰基苯基)甲基-三甲基氯化铵  柳珊瑚毒素  3-(1-羟基-1-苯基-3-吡咯烷-1-基丙基)...  2-[[(2S)-2-[[(2S)-2-[[(2S...  (2S)-2-[[(2S)-2-[[(2S)-2-...  N'-(7-氯-6-硝基喹啉-4-基)-N,N-二...  N-(5-二乙基氨基戊烷-2-基)喹啉-4,6-二...  7-氯-N-(5-二乙基氨基戊烷-2-基)喹啉-4...  N-(2-二乙基氨基乙基)喹啉-4,6-二胺  3,5-二-叔丁基-4-羟基苯甲醛肟  2-(3-二甲基氨基丙基-(2-甲基丙基)氨基)乙...