Online Database of Chemicals from Around the World

Almagel-Neo
[CAS# 8065-58-5]

Suppliers
CAS#: 8065-58-5
Product: Almagel-Neo
No suppilers available for the product.
Identification
Name Almagel-Neo
Synonyms Almagel Laxans; Almagel-Neo; D-Glucitol, Mixt. With Aluminum Hydroxide And Magnesium Oxide
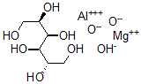
Molecular Structure CAS#: 8065-58-5, Almagel-Neo
Molecular Formula C6H15AlMgO10
Molecular Weight 298.47
CAS Registry Number 8065-58-5
SMILES [O--].[C@H](O)([C@H](O)[C@@H](O)CO)[C@H](O)CO.[Al+3].[O--].[Mg++].[O--].[OH-]
InChI 1S/C6H14O6.Al.Mg.H2O.3O/c7-1-3(9)5(11)6(12)4(10)2-8;;;;;;/h3-12H,1-2H2;;;1H2;;;/q;+3;+2;;3*-2/p-1/t3-,4+,5-,6-;;;;;;/m1....../s1
InChIKey UHQZDLQDZKXOFD-VMIFZFQBSA-M
Properties
Boiling point 494.9°C at 760 mmHg (Cal.)
Flash point 292.5°C (Cal.)
Market Analysis Reports
List of Reports Available for Almagel-Neo
Related Products
17alpha-Hydroxytrenbolone  Ethyl (3aalpha,4alpha,7alpha,7aalpha)-Oc...  Wofasteril  1-(1-(N-(N2-(1-(N2-(3,4-Didehydro-1-(N-L...  Ethyl-10-Iododecanoate  Imidazolecarboxamide  Ovosiston  DDB  Di-Trapex  Tris(Propylenediamine)Tungstatoiron Pent...  Bis(N-butylamine)oxalatoiron  Bis(methylamine)oxalatoiron  Tetra(piperidine)oxalatoiron  Bis(m-anisidine)oxalatoiron  (O-Phenylenediamine)Oxalatoiron