基本信息
| 产品名称 |
1-去氨基-三甘氨酰-8-赖氨酸-后叶加压素 |
| 英文名 |
1-Deamino-Triglycyl-8-Lysine-Vasopressin |
| 别名 |
N-[5-[[2-[[2-[(2-Aminoacetyl)Amino]Acetyl]Amino]Acetyl]Amino]-1-[(2-Amino-2-Oxo-Ethyl)Carbamoyl]Pentyl]-1-[7-(2-Amino-2-Oxo-Ethyl)-10-(3-Amino-3-Oxo-Propyl)-16-[(4-Hydroxyphenyl)Methyl]-6,9,12,15,18-Pentaoxo-13-(Phenylmethyl)1,2-Dithia-5,8,11,14,17-Pentazacycloicosane-4-Carbonyl]Pyrrolidine-2-Carboxamide; N-[5-[[2-[[2-[(2-Amino-1-Oxoethyl)Amino]-1-Oxoethyl]Amino]-1-Oxoethyl]Amino]-1-[[(2-Amino-2-Oxoethyl)Amino]-Oxomethyl]Pentyl]-1-[[7-(2-Amino-2-Oxoethyl)-10-(3-Amino-3-Oxopropyl)-16-[(4-Hydroxyphenyl)Methyl]-6,9,12,15,18-Pentaoxo-13-(Phenylmethyl)-1,2-Dithia-5,8,11,14,17-Pentazacycloicos-4-Yl]-Oxomethyl]-2-Pyrrolidinecarboxamide; 1-[7-(2-Amino-2-Keto-Ethyl)-10-(3-Amino-3-Keto-Propyl)-13-(Benzyl)-16-(4-Hydroxybenzyl)-6,9,12,15,18-Pentaketo-1,2-Dithia-5,8,11,14,17-Pentazacycloicosane-4-Carbonyl]-N-[1-[(2-Amino-2-Keto-Ethyl)Carbamoyl]-5-[[2-[[2-(Glycylamino)Acetyl]Amino]Acetyl]Amino]Pentyl]Pyrrolidine-2-Carboxamide |
|
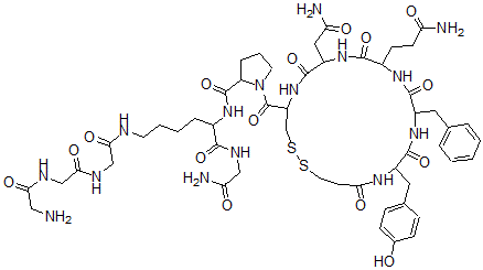
| 分子结构 |
 |
| 分子式 |
C52H73N15O15S2 |
| 分子量 |
1212.36 |
| CAS 登录号 |
80741-20-4 |
| 分子行输入简码 SMILES |
C4=C(CC1NC(=O)C(NC(=O)CCSSCC(NC(=O)C(NC(=O)C(NC1=O)CCC(=O)N)CC(=O)N)C(=O)N2C(C(=O)NC(C(=O)NCC(=O)N)CCCCNC(=O)CNC(=O)CNC(=O)CN)CCC2)CC3=CC=C(O)C=C3)C=CC=C4 |
| 国际化学标识码 InChI |
1S/C52H73N15O15S2/c53-24-43(73)58-27-45(75)59-26-44(74)57-18-5-4-9-32(46(76)60-25-41(56)71)63-51(81)38-10-6-19-67(38)52(82)37-28-84-83-20-17-42(72)61-34(22-30-11-13-31(68)14-12-30)48(78)64-35(21-29-7-2-1-3-8-29)49(79)62-33(15-16-39(54)69)47(77)65-36(23-40(55)70)50(80)66-37/h1-3,7-8,11-14,32-38,68H,4-6,9-10,15-28,53H2,(H2,54,69)(H2,55,70)(H2,56,71)(H,57,74)(H,58,73)(H,59,75)(H,60,76)(H,61,72)(H,62,79)(H,63,81)(H,64,78)(H,65,77)(H,66,80) |
| 国际化学标识检索码 InChIKey |
ASJAKDQQGIIVPZ-UHFFFAOYSA-N |
|