Online Database of Chemicals from Around the World

5-酮葡糖酸
[CAS# 815-89-4]

供应商
CAS#: 815-89-4
产品: 5-酮葡糖酸
暂时没有厂家供应该产品。
基本信息
产品名称 5-酮葡糖酸
英文名 5-Ketogluconic Acid
别名 Calcium 2,3,4,6-Tetrahydroxy-5-Oxo-Hexanoic Acid; Calcium 2,3,4,6-Tetrahydroxy-5-Keto-Hexanoic Acid; Calcium Bis(D-Xylo-Hex-5-Ulosonate)
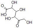
分子结构 CAS 登录号:815-89-4, 5-酮葡糖酸
分子式 C6H10CaO7
分子量 234.22
CAS 登录号 815-89-4
分子行输入简码 SMILES C(O)C(=O)C(O)C(O)C(O)C(O)=O.[Ca++]
国际化学标识码 InChI 1S/C6H10O7.Ca/c7-1-2(8)3(9)4(10)5(11)6(12)13;/h3-5,7,9-11H,1H2,(H,12,13);/q;+2
国际化学标识检索码 InChIKey TXCXKRTUTISVGF-UHFFFAOYSA-N
物理化学性质
沸点 650.9°C at 760 mmHg (计算值)
闪点 361.5°C (计算值)
市场分析报告
请浏览5-酮葡糖酸市场分析报告总目录
相关产品
N-棕榈酰色氨酸 N-己基酯  丹磺酰普萘洛尔  景天庚酮糖 1,7-二磷酸酯  1a,9b-二氢-1-氯-1H-菲并(9,10-b...  (5-对甲苯基-四唑-2-基)-乙酸  1-乙基四氢萘  碳环 3-去氮杂腺苷  氯扎封  人间霉素  新制癌菌素载色体  3H-苯并噻唑-2-硫酮  酚哌丙酮  1,4,5,8-四羟基蒽醌  N-乙酰基-(4-氯苯丙氨酰)(1,2)-色氨酰(...  乙酰基(4-氯苯丙氨酰(1,2)-色氨酰(3)-酪...