Online Database of Chemicals from Around the World

Glycotriosyl Glutamine
[CAS# 83235-86-3]

Suppliers
CAS#: 83235-86-3
Product: Glycotriosyl Glutamine
No suppilers available for the product.
Identification
Name Glycotriosyl Glutamine
Synonyms 2-Amino-5-Oxo-5-[[3,4,5-Trihydroxy-6-[[3,4,5-Trihydroxy-6-[[3,4,5-Trihydroxy-6-(Hydroxymethyl)Tetrahydropyran-2-Yl]Oxymethyl]Tetrahydropyran-2-Yl]Oxymethyl]Tetrahydropyran-2-Yl]Amino]Pentanoic Acid; 2-Amino-5-Oxo-5-[[3,4,5-Trihydroxy-6-[[3,4,5-Trihydroxy-6-[[3,4,5-Trihydroxy-6-(Hydroxymethyl)-2-Tetrahydropyranyl]Oxymethyl]-2-Tetrahydropyranyl]Oxymethyl]-2-Tetrahydropyranyl]Amino]Pentanoic Acid; 2-Amino-5-Keto-5-[[3,4,5-Trihydroxy-6-[[3,4,5-Trihydroxy-6-[(3,4,5-Trihydroxy-6-Methylol-Tetrahydropyran-2-Yl)Oxymethyl]Tetrahydropyran-2-Yl]Oxymethyl]Tetrahydropyran-2-Yl]Amino]Valeric Acid
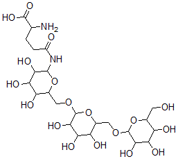
Molecular Structure CAS#: 83235-86-3, Glycotriosyl Glutamine
Molecular Formula C23H40N2O18
Molecular Weight 632.57
CAS Registry Number 83235-86-3
SMILES C(C1C(C(C(C(O1)OCC2C(C(C(C(O2)OCC3C(C(C(C(O3)NC(=O)CCC(N)C(O)=O)O)O)O)O)O)O)O)O)O)O
InChI 1S/C23H40N2O18/c24-6(21(37)38)1-2-10(27)25-20-17(34)14(31)12(29)8(41-20)4-39-23-19(36)16(33)13(30)9(43-23)5-40-22-18(35)15(32)11(28)7(3-26)42-22/h6-9,11-20,22-23,26,28-36H,1-5,24H2,(H,25,27)(H,37,38)
InChIKey FBRQDLODWVMGEI-UHFFFAOYSA-N
Market Analysis Reports
List of Reports Available for Glycotriosyl Glutamine
Related Products
Disodium 5-[[4-[[[4-[[6-Amino-1-Hydroxy-...  1,4,5-Trihydroxy-8-[(2-Hydroxyethyl)Amin...  2-[(4-Ethoxyphenyl)Azo]-1-Naphthol  1-[[2,5-Dimethyl-4-(Phenylazo)Phenyl]Azo...  N-[2-[(2-Bromo-6-Cyano-4-Nitrophenyl)Azo...  2-[[4-[Butyl(2-Hydroxyethyl)Amino]-2-Met...  3-Bromo-2-[[4-(Diethylamino)-o-Tolyl]Azo...  N-[2-[(3-Chloro-4-Cyanophenyl)Azo]-5-(Di...  2-[4-[(2-Chloro-4-Nitrophenyl)Azo]-4,5-D...  N-[2-[(2-Bromo-6-Cyano-p-Tolyl)Azo]-5-(D...  N-[2-[(2-Bromo-6-Cyano-p-Tolyl)Azo]-5-(D...  Calcium 2-[(2-Hydroxy-6-Sulphonato-1-Nap...  Sodium 2-[(1-Oxooctadec-9-Enyl)Amino]Eth...  1-[[2,5-Dimethyl-4-[(Dimethylphenyl)Azo]...  1-[[4-[(Dimethylphenyl)Azo]Phenyl]Azo]-2...