Online Database of Chemicals from Around the World

Isovaleryl-valyl-valylstatyl-alanylstatyl-glycyl-lysyl-lysine
[CAS# 83487-84-7]

Suppliers
CAS#: 83487-84-7
Product: Isovaleryl-valyl-valylstatyl-alanylstatyl-glycyl-lysyl-lysine
No suppilers available for the product.
Identification
Name Isovaleryl-valyl-valylstatyl-alanylstatyl-glycyl-lysyl-lysine
Synonyms (2S)-6-Amino-2-[[(2S)-6-Amino-2-[[2-[[3-Hydroxy-4-[2-[[3-Hydroxy-6-Methyl-4-[[(2S)-3-Methyl-2-[[(2S)-3-Methyl-2-(3-Methylbutanoylamino)Butanoyl]Amino]Butanoyl]Amino]Heptanoyl]Amino]Propanoylamino]-6-Methyl-Heptanoyl]Amino]Acetyl]Amino]Hexanoyl]Amino]Hexanoic Acid; (2S)-6-Amino-2-[[(2S)-6-Amino-2-[[2-[[3-Hydroxy-4-[[2-[[3-Hydroxy-6-Methyl-4-[[(2S)-3-Methyl-2-[[(2S)-3-Methyl-2-[(3-Methyl-1-Oxobutyl)Amino]-1-Oxobutyl]Amino]-1-Oxobutyl]Amino]-1-Oxoheptyl]Amino]-1-Oxopropyl]Amino]-6-Methyl-1-Oxoheptyl]Amino]-1-Oxoethyl]Amino]-1-Oxohexyl]Amino]Hexanoic Acid; (2S)-6-Amino-2-[[(2S)-6-Amino-2-[[2-[[3-Hydroxy-4-[2-[[3-Hydroxy-4-[[(2S)-2-[[(2S)-2-(Isovalerylamino)-3-Methyl-Butanoyl]Amino]-3-Methyl-Butanoyl]Amino]-6-Methyl-Heptanoyl]Amino]Propanoylamino]-6-Methyl-Heptanoyl]Amino]Acetyl]Amino]Hexanoyl]Amino]Hexanoic Acid
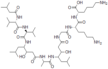
Molecular Structure CAS#: 83487-84-7, Isovaleryl-valyl-valylstatyl-alanylstatyl-glycyl-lysyl-lysine
Molecular Formula C48H90N10O12
Molecular Weight 999.30
CAS Registry Number 83487-84-7
SMILES [C@H](C(=O)O)(NC([C@@H](NC(CNC(CC(C(CC(C)C)NC(C(C)NC(CC(C(CC(C)C)NC([C@@H](NC([C@@H](NC(CC(C)C)=O)C(C)C)=O)C(C)C)=O)O)=O)=O)O)=O)=O)CCCCN)=O)CCCCN
InChI 1S/C48H90N10O12/c1-26(2)20-34(36(59)23-38(61)51-25-41(64)53-32(16-12-14-18-49)45(66)54-33(48(69)70)17-13-15-19-50)55-44(65)31(11)52-40(63)24-37(60)35(21-27(3)4)56-46(67)43(30(9)10)58-47(68)42(29(7)8)57-39(62)22-28(5)6/h26-37,42-43,59-60H,12-25,49-50H2,1-11H3,(H,51,61)(H,52,63)(H,53,64)(H,54,66)(H,55,65)(H,56,67)(H,57,62)(H,58,68)(H,69,70)/t31?,32-,33-,34?,35?,36?,37?,42-,43-/m0/s1
InChIKey WWMFTSRYUPALSO-GSGLJKEASA-N
Properties
Density 1.148g/cm3 (Cal.)
Boiling point 1309.787°C at 760 mmHg (Cal.)
Flash point 745.932°C (Cal.)
Market Analysis Reports
List of Reports Available for Isovaleryl-valyl-valylstatyl-alanylstatyl-glycyl-lysyl-lysine
Related Products
Muramyl Pentapeptide  N-11-(4-Iodophenylsulfonamide)Undecanoic...  N-12-(Para-Iodophenylsulfonamide)Dodecan...  Navidrex-K  3-Hydroxy-4-[[2-Methyl-5-[(1-Methylethox...  4-Chloro-3-Nitro-N-(2,4,5-Trichloropheny...  4-[[5-[(2-Chloroethoxy)Carbonyl]-o-Tolyl...  2-Amino-6-Nitro-4-Neopentylphenol  1-Cyclohexyl-5-Methylbarbituric Acid  Fluorodopan  1-Fluoro-2-(4-Fluorophenoxy)-4-[[2-(4-Me...  4-((2-(4-Chlorophenyl)-2-Methylbutoxy)Me...  1-Chloro-2-((2-(4-Methylphenyl)-2-Methyl...  3-Phenoxy-6-Fluorobenzyl 2-(4-Chlorophen...  4-((2-(4-Chlorophenyl)-2-Ethylbutoxy)Met...