Identification
| Name |
Iturin D |
| Synonyms |
3-[6,12,22-Tris(2-Amino-2-Keto-Ethyl)-9-(4-Hydroxybenzyl)-2,5,8,11,14,18,21,24-Octaketo-19-Methylol-16-Undecyl-1,4,7,10,13,17,20,23-Octazabicyclo[23.3.0]Octacosan-3-Yl]Propionamide; Iturin D; 3-[6,12,22-Tris(2-Amino-2-Oxo-Ethyl)-19-(Hydroxymethyl)-9-[(4-Hydroxyphenyl)Methyl]-2,5,8,11,14,18,21,24-Octaoxo-16-Undecyl-1,4,7,10,13,17,20,23-Octazabicyclo[23.3.0]Octacosan-3-Yl]Propanamide |
|
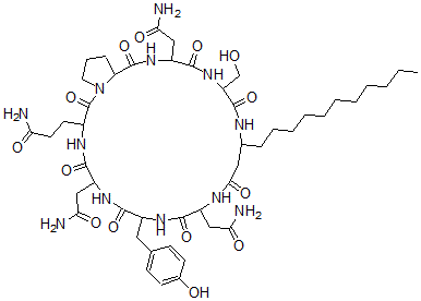
| Molecular Structure |
 |
| Molecular Formula |
C48H74N12O14 |
| Molecular Weight |
1043.18 |
| CAS Registry Number |
83785-07-3 (108956-22-5) |
| SMILES |
C3=C(CC1NC(=O)C(NC(=O)CC(NC(=O)C(NC(=O)C(NC(=O)C2N(C(=O)C(NC(=O)C(NC1=O)CC(=O)N)CCC(=O)N)CCC2)CC(=O)N)CO)CCCCCCCCCCC)CC(=O)N)C=CC(=C3)O |
| InChI |
1S/C48H74N12O14/c1-2-3-4-5-6-7-8-9-10-12-28-22-41(67)54-32(23-38(50)64)43(69)56-31(21-27-14-16-29(62)17-15-27)42(68)57-33(24-39(51)65)44(70)55-30(18-19-37(49)63)48(74)60-20-11-13-36(60)47(73)58-34(25-40(52)66)45(71)59-35(26-61)46(72)53-28/h14-17,28,30-36,61-62H,2-13,18-26H2,1H3,(H2,49,63)(H2,50,64)(H2,51,65)(H2,52,66)(H,53,72)(H,54,67)(H,55,70)(H,56,69)(H,57,68)(H,58,73)(H,59,71) |
| InChIKey |
HNAPWDKFUSLFFE-UHFFFAOYSA-N |
|