Online Database of Chemicals from Around the World

玫瑰鞣质 E
[CAS# 84744-51-4]

供应商
CAS#: 84744-51-4
产品: 玫瑰鞣质 E
暂时没有厂家供应该产品。
基本信息
产品名称 玫瑰鞣质 E
英文名 Rugosin E
别名 D-Glucose, Cyclic 4-2':6-2-(4-(6-(((4,6-O-((4,4',5,5',6,6'-Hexahydroxy(1,1'-Biphenyl)-2,2'-Diyl)Dicarbonyl)-2,3-Bis-O-(3,4,5-Trihydroxybenzoyl)-Beta-D-Glucopyranosyl)Oxy)Carbonyl)-2,3,4-Trihydroxyphenoxy)-4',5,5',6,6'-Pentahydroxy(1,1'-Biphenyl)-2,2'-Dicarboxylate) 2,3-Bis(3,4,5-Trihydroxy; Rugosin E; D-Glucose, Cyclic 4.Fwdarw.2':6.Fwdarw.2-[(1S)-4-[6-[[[4,6-O-[[(1S)-4,4',5,5',6,6'-Hexahydroxy[1,1'-Biphenyl]-2,2'-Diyl]Dicarbonyl]-2,3-Bis-O-(3,4,5-Trihydroxybenzoyl)-.Beta.-D-Glucopyranosyl]Oxy]Carbonyl]-2,3,4-Trihydroxyphenoxy]-4',5,5',6,6'-Pentahydroxy[1,1'-Biphenyl]-2,2'-Dicarboxylate] 2,3-Bis(3,4,5-Trihydroxybenzoate)
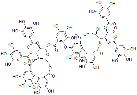
分子结构 CAS 登录号:84744-51-4, 玫瑰鞣质 E
分子式 C75H54O48
分子量 1723.22
CAS 登录号 84744-51-4
分子行输入简码 SMILES [C@H]9(COC(C1=C(C(=C(C(=C1)OC8=C(C(O[C@@H]3O[C@H]5[C@H]([C@H](OC(C2=CC(=C(C(=C2)O)O)O)=O)[C@H]3OC(C4=CC(=C(C(=C4)O)O)O)=O)OC(=O)C7=C(C6=C(C(OC5)=O)C=C(C(=C6O)O)O)C(=C(C(=C7)O)O)O)=O)C=C(C(=C8O)O)O)O)O)C%12=C(C(O[C@H]9[C@@H]([C@H](C=O)OC(C%10=CC(=C(C(=C%10)O)O)O)=O)OC(C%11=CC(=C(C(=C%11)O)O)O)=O)=O)C=C(C(=C%12O)O)O)=O)O
国际化学标识码 InChI 1S/C75H54O48/c76-14-40(116-66(104)17-1-26(77)46(90)27(78)2-17)62(119-67(105)18-3-28(79)47(91)29(80)4-18)61-38(89)15-113-71(109)24-13-39(54(98)58(102)45(24)44-22(72(110)118-61)10-35(86)52(96)57(44)101)115-60-25(12-37(88)53(97)59(60)103)74(112)123-75-65(122-69(107)20-7-32(83)49(93)33(84)8-20)64(121-68(106)19-5-30(81)48(92)31(82)6-19)63-41(117-75)16-114-70(108)21-9-34(85)50(94)55(99)42(21)43-23(73(111)120-63)11-36(87)51(95)56(43)100/h1-14,38,40-41,61-65,75,77-103H,15-16H2/t38-,40+,41-,61-,62-,63-,64+,65-,75+/m1/s1
国际化学标识检索码 InChIKey FJVMRJWMETUPFP-AIGHVOLPSA-N
市场分析报告
请浏览玫瑰鞣质 E市场分析报告总目录
相关产品
磷酰高环肌酸  7,8-二氢-7,7-二甲基-4-(4-(2-苯基...  Sarubicin B  2-[1-(苄基)-5-羟基吲唑-3-基]氧基乙酸  5(S)-羟基-6(R)-gamma-谷氨酰半胱氨...  3-氨基-6-甲氧基吖啶  3-二甲基氨基-6-甲氧基吖啶  3-乙基-N-羟基-2-苯并呋喃甲脒  5-氟-N-羟基-3-甲基-2-苯并呋喃甲脒  5-氯-N-羟基-3-甲基-2-苯并呋喃甲脒  5-溴-N-羟基-3-甲基-2-苯并呋喃甲脒  5-氯-N-羟基-3,4,6-三甲基-2-苯并呋喃...  N-羟基-4-硝基-2-苯并呋喃甲脒  N-羟基-4-甲氧基-2-苯并呋喃甲脒  N-羟基-5-甲氧基-2-苯并呋喃甲脒