Online Database of Chemicals from Around the World

2-[4-(2-{4-[2-(Acryloyloxy)ethoxy]phenyl}-2-propanyl)phenoxy]ethyl N,N-diethyl-beta-alaninate
[CAS# 84864-53-9]

Suppliers
CAS#: 84864-53-9
Product: 2-[4-(2-{4-[2-(Acryloyloxy)ethoxy]phenyl}-2-propanyl)phenoxy]ethyl N,N-diethyl-beta-alaninate
No suppilers available for the product.
Identification
Name 2-[4-(2-{4-[2-(Acryloyloxy)ethoxy]phenyl}-2-propanyl)phenoxy]ethyl N,N-diethyl-beta-alaninate
Synonyms 2-[4-[1-methyl-1-[4-[2-[(1-oxoallyl)oxy]ethoxy]phenyl]ethyl]phenoxy]ethyl N,N-diethyl-β-alaninate
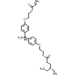
Molecular Structure CAS#: 84864-53-9, 2-[4-(2-{4-[2-(Acryloyloxy)ethoxy]phenyl}-2-propanyl)phenoxy]ethyl N,N-diethyl-beta-alaninate
Molecular Formula C29H39NO6
Molecular Weight 497.62
CAS Registry Number 84864-53-9
EINECS 284-375-8
SMILES C=CC(=O)OCCOc1ccc(cc1)C(C)(C)c2ccc(OCCOC(=O)CCN(CC)CC)cc2
InChI 1S/C29H39NO6/c1-6-27(31)35-21-19-33-25-13-9-23(10-14-25)29(4,5)24-11-15-26(16-12-24)34-20-22-36-28(32)17-18-30(7-2)8-3/h6,9-16H,1,7-8,17-22H2,2-5H3
InChIKey LXJDZBHLBVBEEY-UHFFFAOYSA-N
Properties
Density 1.086g/cm3 (Cal.)
Boiling point 597.381°C at 760 mmHg (Cal.)
Flash point 315.085°C (Cal.)
Market Analysis Reports
List of Reports Available for 2-[4-(2-{4-[2-(Acryloyloxy)ethoxy]phenyl}-2-propanyl)phenoxy]ethyl N,N-diethyl-beta-alaninate
Related Products
(3,7,7-Trimethylbicyclo[4.1.0]hept-3-en-...  Calcium bis(methylsulfamate)  Calcium 2,2'-[1,2-ethanediylbis(oxy)]dia...  D-Glucaric acid, aluminum salt (1:1)  Diammonium D-glucarate  1,2-Didecyl 4-octyl 1,2,4-benzenetricarb...  3'-Hexadecyl 1,2-di-9-octadecen-1-yl 2'-...  2',3'-Difluoro-3-biphenylcarbaldehyde  3-(3-Oxo-4-morpholinyl)propanenitrile  trans-4-sec-Butylcyclohexanecarbonyl chl...  N-(4-Isopropylbenzyl)cyclopropanamine  Ethyl 2-(tetrahydro-4H-pyran-4-ylidene)h...  1,3-Dihydroxy-2-propanyl (5Z,8Z,11Z)-13-...  2-Chloro-1-(chloromethyl)-3,4,5-trimetho...  5-Propadienylpyrimidine