Online Database of Chemicals from Around the World

N-乙酰基-(4-氯苯丙氨酰)(1,2)-苯丙氨酰(3)-精氨酰(6)-丙氨酰胺2(10)-黄体生成激素释放激素
[CAS# 85416-56-4]

供应商
CAS#: 85416-56-4
产品: N-乙酰基-(4-氯苯丙氨酰)(1,2)-苯丙氨酰(3)-精氨酰(6)-丙氨酰胺2(10)-黄体生成激素释放激素
暂时没有厂家供应该产品。
基本信息
产品名称 N-乙酰基-(4-氯苯丙氨酰)(1,2)-苯丙氨酰(3)-精氨酰(6)-丙氨酰胺2(10)-黄体生成激素释放激素
英文名 N-Ac-(4-Cl-Phe)(1,2)-Phe(3)-Arg(6)-Alanh2(10)-Lhrh
别名 Gnrh, N-Ac-(4-Cl-Phe)(1,2)-Phe(3)-Arg(6)-Alanh2(10)-; Lhrh, N-Acetyl-4-Chlorophenylalanyl(1,2)-Phenylalanyl(3)-Arginyl(6)-Alanimide(10)-; Lhrh, N-Ac-(4-Cl-Phe)(1,2)-Phe(3)-Arg(6)-Alanh2(10)-
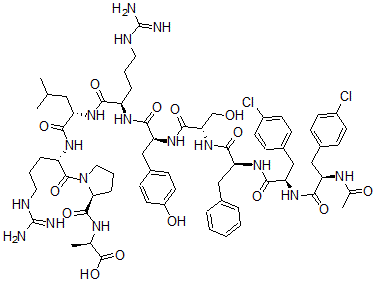
分子结构 CAS 登录号:85416-56-4, N-乙酰基-(4-氯苯丙氨酰)(1,2)-苯丙氨酰(3)-精氨酰(6)-丙氨酰胺2(10)-黄体生成激素释放激素
分子式 C67H90Cl2N16O14
分子量 1414.45
CAS 登录号 85416-56-4
分子行输入简码 SMILES [C@@H](C(=O)O)(NC([C@H]1N(CCC1)C([C@@H](NC([C@@H](NC([C@H](NC([C@@H](NC([C@@H](NC([C@@H](NC([C@H](NC([C@H](NC(=O)C)CC2=CC=C(C=C2)Cl)=O)CC3=CC=C(C=C3)Cl)=O)CC4=CC=CC=C4)=O)CO)=O)CC5=CC=C(O)C=C5)=O)CCCNC(=N)N)=O)CC(C)C)=O)CCCNC(=N)N)=O)=O)C
国际化学标识码 InChI 1S/C67H90Cl2N16O14/c1-37(2)31-49(57(90)79-48(14-9-29-75-67(72)73)64(97)85-30-10-15-55(85)63(96)76-38(3)65(98)99)80-56(89)47(13-8-28-74-66(70)71)78-59(92)52(35-43-20-26-46(88)27-21-43)83-62(95)54(36-86)84-61(94)51(32-40-11-6-5-7-12-40)82-60(93)53(34-42-18-24-45(69)25-19-42)81-58(91)50(77-39(4)87)33-41-16-22-44(68)23-17-41/h5-7,11-12,16-27,37-38,47-55,86,88H,8-10,13-15,28-36H2,1-4H3,(H,76,96)(H,77,87)(H,78,92)(H,79,90)(H,80,89)(H,81,91)(H,82,93)(H,83,95)(H,84,94)(H,98,99)(H4,70,71,74)(H4,72,73,75)/t38-,47-,48+,49+,50-,51+,52+,53-,54+,55+/m1/s1
国际化学标识检索码 InChIKey ZIGJFYQNWCQUSD-FNYHMNKTSA-N
物理化学性质
密度 1.43g/cm3 (计算值)
市场分析报告
请浏览N-乙酰基-(4-氯苯丙氨酰)(1,2)-苯丙氨酰(3)-精氨酰(6)-丙氨酰胺2(10)-黄体生成激素释放激素市场分析报告总目录
相关产品
O-乙酰基-5-羟基色醇  [氨基-[4-(氨基-膦酰-甲基)苯基]甲基]膦酸  4a-[[4-(2-乙氧基-2-苯基-乙基)哌嗪-...  4a-[[4-(2-乙氧基-2-苯基-乙基)哌嗪-...  4a-[[4-(2-乙氧基-2-苯基-乙基)哌嗪-...  4a-[[4-(2-甲氧基-2-苯基-乙基)哌嗪-...  2-(6-羧基己基)环戊烷酮己基腙  7-(6-脱氧-beta-D-异呋喃糖基)次黄嘌呤  9-(6'-脱氧-beta-D-异呋喃糖基)次黄嘌...  7-(6'-脱氧-beta-D-异呋喃糖基)鸟嘌呤  9-(6'-脱氧-beta-D-异呋喃糖基)鸟嘌呤  [2-(丙烯酰氧基)乙基]二甲基铵硝酸盐  4-[(4-氨基苯基)甲基]-2-异丙基苯胺  4-[(4-氨基-3-乙基苯基)甲基]-2-[(4...  2-[(4-氨基-3-乙基苯基)甲基]-4-[(4...