Online Database of Chemicals from Around the World

三(二甲基硅烷基氧基)-乙氧基-硅烷
[CAS# 865811-55-8]

供应商
Gelest, Inc. 美国 询价快递  
+1 (215) 547-1015
info@gelest.com
化学品生产商
基本信息
产品名称 三(二甲基硅烷基氧基)-乙氧基-硅烷
英文名 tris(dimethylsilyloxy)-ethoxy-silane
别名 silicic acid (H4SiO4), tris(dimethylsilyl) ethyl ester; TRIS(DIMETHYLSILOXY)ETHOXYSILANE, tech-95
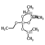
分子结构 CAS 登录号:865811-55-8, 三(二甲基硅烷基氧基)-乙氧基-硅烷
分子式 C8H26O4Si4
分子量 298.63
CAS 登录号 865811-55-8
分子行输入简码 SMILES C[SiH](C)O[Si](O[SiH](C)C)(O[SiH](C)C)OCC
国际化学标识码 InChI 1S/C8H26O4Si4/c1-8-9-16(10-13(2)3,11-14(4)5)12-15(6)7/h13-15H,8H2,1-7H3
国际化学标识检索码 InChIKey VEURSYNYOPBCQY-UHFFFAOYSA-N
物理化学性质
沸点 214.193°C at 760 mmHg (计算值)
闪点 83.341°C (计算值)
折射率 (计算值)
1.5875 (实验值)
市场分析报告
请浏览三(二甲基硅烷基氧基)-乙氧基-硅烷市场分析报告总目录
相关产品
1,3-二氯-1,1,3,3-四环戊基二硅氧烷  1,1,3,5,5-五甲基-1,5-二[3-(2-...  6-氟十六烷酸  7-氟十六烷酸  苯基(2H-四唑-5-基)甲酮  5-[(2-甲氧基苯氧基)甲基]-2-苯基-1,3...  (反式-2-苯基-1,3-二恶烷-5-基)甲醇  乙烯基2,2,5-三甲基-1,3-二恶烷-5-羧酸...  4,4,5,5-四甲基-2-(4-甲基-1-环己烯...  二甲基(2-甲基-2-丙基){[4-(4,4,5,...  (E)-1-(1H-苯并咪唑-6-基)-N-羟基甲...  4-(氨基甲基)-2-氟苯胺盐酸盐(1:1)  甲基4-甲氧基-1H-吲唑-3-羧酸酯  6-(苄氧基)-1H-吲唑-3-羧酸  5-甲氧基-1H-吲唑-3-羧酸乙酯