Online Database of Chemicals from Around the World

锰(III)四苯基卟吩磺酸盐
[CAS# 88992-32-9]

供应商
CAS#: 88992-32-9
产品: 锰(III)四苯基卟吩磺酸盐
暂时没有厂家供应该产品。
基本信息
产品名称 锰(III)四苯基卟吩磺酸盐
英文名 Manganese(III)Tetraphenylporphine Sulfonate
别名 Manganate(3-), ((4,4',4'',4'''-(21H,23H-porphine-5,10,15,20-tetrayl)tetrakis(benzenesulfonato))(6-)-N21,N22,N23,N24)-, (SP-4-1)-; Manganese(III)-tetrakis(4-sulfonatophenyl)porphyrin
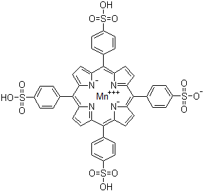
分子结构 CAS 登录号:88992-32-9, 锰(III)四苯基卟吩磺酸盐
分子式 C44H24MnN4O12S4
分子量 983.88
CAS 登录号 88992-32-9
分子行输入简码 SMILES [Mn+3].[O-]S(=O)(=O)c1ccc(cc1)c3c/9nc(c(c/7nc(c(c5[n-]c(c(c2ccc(cc2)S([O-])(=O)=O)c4[n-]c3cc4)cc5)c6ccc(cc6)S([O-])(=O)=O)\C=C\7)c8ccc(cc8)S([O-])(=O)=O)\C=C\9
国际化学标识码 InChI 1S/C44H28N4O12S4.Mn/c49-61(50,51)29-9-1-25(2-10-29)41-33-17-19-35(45-33)42(26-3-11-30(12-4-26)62(52,53)54)37-21-23-39(47-37)44(28-7-15-32(16-8-28)64(58,59)60)40-24-22-38(48-40)43(36-20-18-34(41)46-36)27-5-13-31(14-6-27)63(55,56)57;/h1-24H,(H,49,50,51)(H,52,53,54)(H,55,56,57)(H,58,59,60);/q-2;+3/p-4/b41-33-,41-34-,42-35-,42-37-,43-36-,43-38-,44-39-,44-40-;
国际化学标识检索码 InChIKey YNJWINLPKXDZEJ-DAJBKUBHSA-J
市场分析报告
请浏览锰(III)四苯基卟吩磺酸盐市场分析报告总目录
相关产品
N-[2-(丙烯酰氧基)乙基]-N,N-二甲基-3...  1-{3-[4-(三氟甲基)苯基]-1,2-恶唑-...  1-[3-(4-氟苯基)-1,2-恶唑-5-基]乙...  1-[3-(3-氟苯基)-1,2-恶唑-5-基]乙...  1-[3-(3-氟苯基)-1,2-恶唑-5-基]乙...  1-{3-[3-(三氟甲基)苯基]-1,2-恶唑-...  1-[3-(3-氯苯基)-1,2-恶唑-5-基]乙...  1-[3-(2-吡啶基)-1,2-恶唑-5-基]乙...  1-[5-(4-氟苯基)-1,2-恶唑-3-基]乙...  1-[3-(3-吡啶基)-1,2-恶唑-5-基]乙...  1-[1-(三异丙基硅烷基)-1H-吲哚-3-基]...  4-氨基-5-(3-吡啶基甲基)-2(1H)-嘧啶...  4-溴-1H-吡咯并[2,3-d]嘧啶  5-氯-2-甲氧基-4-甲基苯磺酰氯  N,N,N'-三甲基-N'-(4-哌啶基)-1,2...