Online Database of Chemicals from Around the World

Retrohydroxamate Ferrichrome
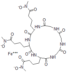
[CAS# 90385-02-7]

Suppliers
CAS#: 90385-02-7
Product: Retrohydroxamate Ferrichrome
No suppilers available for the product.
Identification
Name Retrohydroxamate Ferrichrome
Synonyms Ferrous 4-[5,17-Bis[4-(Methyl-Oxido-Amino)-4-Oxo-Butyl]-3,6,9,12,15,18-Hexaoxo-1,4,7,10,13,16-Hexazacyclooctadec-2-Yl]-N-Methyl-N-Oxido-Butanamide; Ferrous 4-[5,17-Bis[4-(Methyl-Oxidoamino)-4-Oxobutyl]-3,6,9,12,15,18-Hexaoxo-1,4,7,10,13,16-Hexazacyclooctad
Molecular Structure CAS#: 90385-02-7, Retrohydroxamate Ferrichrome
Molecular Formula C27H42FeN9O12
Molecular Weight 740.53
CAS Registry Number 90385-02-7
SMILES C(C1NC(=O)C(NC(=O)CNC(=O)CNC(=O)CNC(=O)C(NC1=O)CCCC(=O)N([O-])C)CCCC(=O)N([O-])C)CCC(=O)N([O-])C.[Fe++]
InChI 1S/C27H42N9O12.Fe/c1-34(46)22(40)10-4-7-16-25(43)30-14-20(38)28-13-19(37)29-15-21(39)31-17(8-5-11-23(41)35(2)47)26(44)33-18(27(45)32-16)9-6-12-24(42)36(3)48;/h16-18H,4-15H2,1-3H3,(H,28,38)(H,29,37)(H,30,43)(H,31,39)(H,32,45)(H,33,44);/q-3;+2
InChIKey GMBGKBAPBOARQI-UHFFFAOYSA-N
Market Analysis Reports
List of Reports Available for Retrohydroxamate Ferrichrome
Related Products
Methyloxirane polymer with oxirane, buty...  N-(3-Fluorophenylmethyl)propylamine  N-(3-Chlorobenzyl)-N-isopropylamine  N-(3-Bromobenzyl)-N-propylamine  N-(3-Iodophenylmethyl)propylamine  N-(4-Methoxybenzyl)-N-propylamine  N-[(3-Nitrophenyl)methyl]propan-2-amine  N-Methyl-3,5-dichlorobenzylamine  1-(3-Chloro-5-fluoro-phenyl)-N-methyl-me...  6,9-Diazaspiro[4.5]decane-7,10-dione  Formaldehyde polymer with methylphenol a...  3-(4-Chloro-benzenesulfonyl)-propionic a...  2-(6,7-Dimethoxy-3,4-dihydro-1H-isoquino...  Nonylphenol-formaldehyde resin  Hydroxybenzenesulfonic acid polymer with...