Online Database of Chemicals from Around the World

Trehalose 6,6'-dicorynomycolate
[CAS# 93379-98-7]

Suppliers
CAS#: 93379-98-7
Product: Trehalose 6,6'-dicorynomycolate
No suppilers available for the product.
Identification
Name Trehalose 6,6'-dicorynomycolate
Synonyms [(2R,3S,4S,5R,6S)-3,4,5-Trihydroxy-6-[(3R,4S,5S,6R)-3,4,5-Trihydroxy-6-[(3-Hydroxy-2-Tetradecyl-Octadecanoyl)Oxymethyl]Tetrahydropyran-2-Yl]Oxy-Tetrahydropyran-2-Yl]Methyl 3-Hydroxy-2-Tetradecyl-Octadecanoate; 3-Hydroxy-2-Tetradecyloctadecanoic Acid [(2R,3
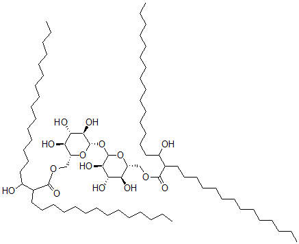
Molecular Structure CAS#: 93379-98-7, Trehalose 6,6'-dicorynomycolate
Molecular Formula C76H146O15
Molecular Weight 1299.98
CAS Registry Number 93379-98-7
SMILES [C@@H]2(OC1O[C@@H]([C@@H](O)[C@H](O)[C@H]1O)COC(=O)C(C(O)CCCCCCCCCCCCCCC)CCCCCCCCCCCCCC)O[C@@H]([C@@H](O)[C@H](O)[C@H]2O)COC(=O)C(C(O)CCCCCCCCCCCCCCC)CCCCCCCCCCCCCC
InChI 1S/C76H146O15/c1-5-9-13-17-21-25-29-33-37-41-45-49-53-57-63(77)61(55-51-47-43-39-35-31-27-23-19-15-11-7-3)73(85)87-59-65-67(79)69(81)71(83)75(89-65)91-76-72(84)70(82)68(80)66(90-76)60-88-74(86)62(56-52-48-44-40-36-32-28-24-20-16-12-8-4)64(78)58-54-50-46-4
InChIKey LFRXCNXVZHVRSE-QEUVOCHDSA-N
Properties
Density 1.061g/cm3 (Cal.)
Boiling point 1135.183°C at 760 mmHg (Cal.)
Flash point 272.452°C (Cal.)
Market Analysis Reports
List of Reports Available for Trehalose 6,6'-dicorynomycolate
Related Products
1-Linolenoyl-2,3-Bis(4-Aminobutyryl)Prop...  (4,4,4-Trifluoro-2-oxobutyl) dihydrogen ...  (3-Phenoxyphenyl)Methyl (1R,3R)-3-(2,2-D...  N-(7-Hydroxynaphthalen-1-yl)acetamide  3-Hydroxypicolinamide  1-{3-[(Diethylamino)Methyl]-4-Hydroxyphe...  Phosphenytoin sodium  1-(2-Chloroethyl)-1-Nitrosocarbamoylalan...  6-Acetamido-7-Methoxy-5,8-Quinolinedione  5-Oxo-L-prolinohydrazide  6-(6-Methoxytetralin-2-Yl)-1-Methyl-Pyri...  2-[2-Amino-6-[(4-Chlorophenyl)Methylsulf...  N-(Carbazol-9-Ylmethyl)-2-Chloro-N-(2-Ch...  Asperlicin  Asperlicin E