Online Database of Chemicals from Around the World

Corynebactin
[CAS# 95536-41-7]

供应商
CAS#: 95536-41-7
产品: Corynebactin
暂时没有厂家供应该产品。
基本信息
产品名称 Corynebactin
英文名 Corynebactin
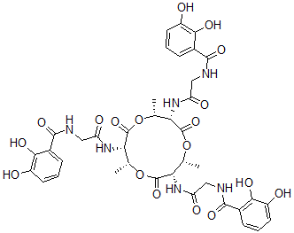
别名 N-[2-[[(2R,3S,6R,7S,10R,11S)-7,11-Bis[[2-[(2,3-Dihydroxybenzoyl)Amino]Acetyl]Amino]-2,6,10-Trimethyl-4,8,12-Trioxo-1,5,9-Trioxacyclododec-3-Yl]Amino]-2-Oxo-Ethyl]-2,3-Dihydroxy-Benzamide; N-[2-[[(2R,3S,6R,7S,10R,11S)-7,11-Bis[[2-[[(2,3-Dihydroxyphenyl)-Oxo
分子结构 CAS 登录号:95536-41-7, Corynebactin
分子式 C39H42N6O18
分子量 882.79
CAS 登录号 95536-41-7
分子行输入简码 SMILES [C@@H]4(NC(=O)CNC(=O)C1=CC=CC(=C1O)O)C(O[C@@H]([C@H](NC(=O)CNC(=O)C2=CC=CC(=C2O)O)C(O[C@@H]([C@H](NC(=O)CNC(=O)C3=C(O)C(=CC=C3)O)C(O[C@@H]4C)=O)C)=O)C)=O
国际化学标识码 InChI 1S/C39H42N6O18/c1-16-28(43-25(49)13-40-34(55)19-7-4-10-22(46)31(19)52)37(58)62-18(3)30(45-27(51)15-42-36(57)21-9-6-12-24(48)33(21)54)39(60)63-17(2)29(38(59)61-16)44-26(50)14-41-35(56)20-8-5-11-23(47)32(20)53/h4-12,16-18,28-30,46-48,52-54H,13-15H2,1-3H3,(H
国际化学标识检索码 InChIKey RCQTVEFBFUNTGM-BDVHUIKKSA-N
市场分析报告
请浏览Corynebactin市场分析报告总目录
相关产品
(2S)-2-氨基-N-[(2R)-1-[[2-[...  酪氨酰-苏氨酰-甘氨酰-(4-叠氮基苯丙氨酰)-亮...  N-(3-乙酰基氨基苯基)哌嗪  (6-二甲基氨基嘧啶-4-基硫代)乙酰肼  Methacyne  N-芥基硬脂酰胺  美他洛尔  2-[(4-溴苯基)硫代]烟酸  己烷二羧酸与 1,3-二异氰酸基-2-甲基苯, 2...  6-异氰酸己烷-1-胺  1,6-己二胺与 1,6-二异氰酸根合己烷和 6-...  1,4-双(甲基氨基)蒽-9,10-二酮  Hymenialdisine  7,8-二羟基-N,N-二去甲基氯丙嗪  7,8-二氧代-N,N-二去甲基氯丙嗪