基本信息
| 产品名称 |
5'-羟基-2''-去甲基二氢链霉素 |
| 英文名 |
5'-Hydroxy-2''-Demethyldihydrostreptomycin |
| 别名 |
2-[2-[3-[3-Amino-4,5-Dihydroxy-6-(Hydroxymethyl)Tetrahydropyran-2-Yl]Oxy-4-Hydroxy-4,5-Bis(Hydroxymethyl)Tetrahydrofuran-2-Yl]Oxy-5-Guanidino-3,4,6-Trihydroxy-Cyclohexyl]Guanidine Trihydrochloride; 2-[2-[[3-[[3-Amino-4,5-Dihydroxy-6-(Hydroxymethyl)-2-Tetra |
|
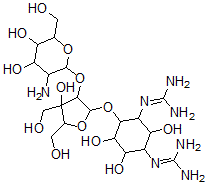
| 分子结构 |
 |
| 分子式 |
C20H42Cl3N7O13 |
| 分子量 |
694.95 |
| CAS 登录号 |
96480-49-8 |
| 分子行输入简码 SMILES |
C3(O)(C(OC1OC(C(O)C(O)C1N)CO)C(OC2C(N=C(N)N)C(O)C(N=C(N)N)C(O)C2O)OC3CO)CO.[H+].[H+].[H+].[Cl-].[Cl-].[Cl-] |
| 国际化学标识码 InChI |
1S/C20H39N7O13.3ClH/c21-6-10(32)9(31)4(1-28)37-16(6)40-15-17(38-5(2-29)20(15,36)3-30)39-14-8(27-19(24)25)11(33)7(26-18(22)23)12(34)13(14)35;;;/h4-17,28-36H,1-3,21H2,(H4,22,23,26)(H4,24,25,27);3*1H |
| 国际化学标识检索码 InChIKey |
QQKHUZYBEYLAHS-UHFFFAOYSA-N |
|