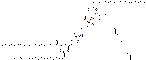
Identification
| Name |
2'-Deoxycardiolipin (Diphosphatidyl-1,3-Propanediol) |
| Synonyms |
[1-[[3-[2,3-Di(Hexadecanoyloxy)Propoxy-Hydroxy-Phosphoryl]Oxypropoxy-Hydroxy-Phosphoryl]Oxymethyl]-2-Hexadecanoyloxy-Ethyl] Hexadecanoate; Hexadecanoic Acid [1-[[3-[2,3-Bis(1-Oxohexadecoxy)Propoxy-Hydroxyphosphoryl]Oxypropoxy-Hydroxyphosphoryl]Oxymethyl]-2 |
|
| Molecular Structure |
 |
| Molecular Formula |
C73H142O16P2 |
| Molecular Weight |
1337.86 |
| CAS Registry Number |
99018-93-6 |
| SMILES |
C(CCCCCCCCCCCCCC(OCC(CO[P](=O)(OCCCO[P](=O)(OCC(COC(CCCCCCCCCCCCCCC)=O)OC(CCCCCCCCCCCCCCC)=O)O)O)OC(CCCCCCCCCCCCCCC)=O)=O)C |
| InChI |
1S/C73H142O16P2/c1-5-9-13-17-21-25-29-33-37-41-45-49-53-58-70(74)82-64-68(88-72(76)60-55-51-47-43-39-35-31-27-23-19-15-11-7-3)66-86-90(78,79)84-62-57-63-85-91(80,81)87-67-69(89-73(77)61-56-52-48-44-40-36-32-28-24-20-16-12-8-4)65-83-71(75)59-54-50-46-42-38 |
| InChIKey |
HOLBFJMJZZPRRX-UHFFFAOYSA-N |
|