Online Database of Chemicals from Around the World

Epidermin
[CAS# 99165-17-0]

Suppliers
CAS#: 99165-17-0
Product: Epidermin
No suppilers available for the product.
Identification
Name Epidermin
Synonyms Epidermin (Antibiotic)
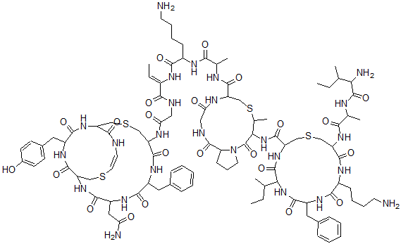
Molecular Structure CAS#: 99165-17-0, Epidermin
Molecular Formula C98H141N25O23S4
Molecular Weight 2165.59
CAS Registry Number 99165-17-0
SMILES C8=C(CC1C(NC(C(NC(CSCC(NC(C(NC(C(C(CC)C)N)=O)C)=O)C(NC(C(N1)=O)CCCCN)=O)C(=O)NC3C(C)SCC(NC(=O)CNC(=O)C2CCCN2C3=O)C(=O)NC(C)C(=O)NC(CCCCN)C(=O)NC(=C\C)/C(=O)NCC(=O)NC7CSCC5NC(=O)C(CC4=CC=C(O)C=C4)NC(=O)C(CS\C=C/NC5=O)NC(=O)C(CC(N)=O)NC(=O)C(CC6=CC=CC=C6)NC
InChI 1S/C98H141N25O23S4/c1-9-51(4)77(102)96(144)107-54(7)81(129)117-70-48-149-49-71(120-97(145)78(52(5)10-2)121-89(137)65(40-57-25-16-13-17-26-57)113-85(133)62(112-92(70)140)28-19-21-35-100)94(142)122-79-55(8)150-50-72(109-76(127)44-105-95(143)73-29-22-37-123(
InChIKey CXTXHTVXPMOOSW-HUCIVYLBSA-N
Market Analysis Reports
List of Reports Available for Epidermin
Related Products
(N-Octanoylthio)Phosphatidylcholine  Populin  6-(3-Pyridyloxy)Pyridin-3-Amine  2-Chloro-5-(Morpholine-4-Sulfonyl)-Pheny...  11-Progesteryl-2-Succinoyltyramine-4-(10...  5-Pregnen-3,20-Diol Glucoside  6-Isopropylaminopiperazino-2-Carbothioam...  N(1)-Nitroso-3-Nitromethylindole  4-[(1,3-Dioxoinden-5-Yl)Methylamino]Benz...  1-Nitro-3-Acetoxypyrene  Mannose 6-Sulfate  Caesalpin J  Broussochalcone A  2-(3,4-Dihydroxyphenyl)-5,7-Dihydroxy-3-...  N-(4-Amino-5-methoxy-2-methylphenyl)benz...