Online Database of Chemicals from Around the World

2-氯-4-硝基苯基-麦芽五糖苷
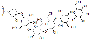
[CAS# 99304-80-0]

供应商
CAS#: 99304-80-0
产品: 2-氯-4-硝基苯基-麦芽五糖苷
暂时没有厂家供应该产品。
基本信息
产品名称 2-氯-4-硝基苯基-麦芽五糖苷
英文名 2-Chloro-4-Nitrophenyl-Maltopentaoside
别名 (2R,3R,4S,5S,6R)-2-[(2R,3S,4R,5R,6R)-6-[(2R,3S,4R,5R,6R)-6-[(2R,3S,4R,5R,6R)-6-[(2R,3S,4R,5R,6S)-6-(2-Chloro-4-Nitro-Phenoxy)-4,5-Dihydroxy-2-(Hydroxymethyl)Tetrahydropyran-3-Yl]Oxy-4,5-Dihydroxy-2-(Hydroxymethyl)Tetrahydropyran-3-Yl]Oxy-4,5-Dihydroxy-2-(
分子结构 CAS 登录号:99304-80-0, 2-氯-4-硝基苯基-麦芽五糖苷
分子式 C36H54ClNO28
分子量 984.27
CAS 登录号 99304-80-0
分子行输入简码 SMILES [C@H]6(O[C@H]3O[C@@H]([C@@H](O[C@H]2O[C@@H]([C@@H](O[C@H]1O[C@@H]([C@@H](O)[C@H](O)[C@H]1O)CO)[C@H](O)[C@H]2O)CO)[C@H](O)[C@H]3O)CO)[C@H](O)[C@@H](O)[C@@H](O[C@H]4[C@H](O)[C@@H](O)[C@@H](O[C@@H]4CO)OC5=C(Cl)C=C([N+]([O-])=O)C=C5)O[C@@H]6CO
国际化学标识码 InChI 1S/C36H54ClNO28/c37-10-3-9(38(55)56)1-2-11(10)57-32-24(51)19(46)28(13(5-40)59-32)64-34-26(53)21(48)30(15(7-42)61-34)66-36-27(54)22(49)31(16(8-43)62-36)65-35-25(52)20(47)29(14(6-41)60-35)63-33-23(50)18(45)17(44)12(4-39)58-33/h1-3,12-36,39-54H,4-8H2/t12-,13
国际化学标识检索码 InChIKey KPJLHDPHGOCMDS-FCQTXGLASA-N
市场分析报告
请浏览2-氯-4-硝基苯基-麦芽五糖苷市场分析报告总目录
相关产品
2-(4-N-丁基苯胺基)腺嘌呤  4-N-丁基苯胺基三磷酸脱氧腺苷  7,7'-二乙酰基-6,6'-二甲基-2,2'-联...  3'(2')-O-(2-硝基-4-叠氮基苯甲酰基)...  三氯化锗  6-硝基-N-壬基-4H-1,3,2-苯并二氧磷杂...  5-溴-N,O-二丙酰二氧吲哚  (7S)-7-[[(R)-5-氨基-5-羧基-1-...  (7S)-7-[[(R)-5-氨基-5-羧基-1-...  双牛磺酸胆红素  N-羟基-N-甲基-7-丙氧基-2-萘乙胺  2,4-吡咯烷二羧酸  依那立松  M-溴乙酰基偏端霉素  4-氧代-四氢-噻吩-3-羧酸甲酯