Online Database of Chemicals from Around the World

[1-[[6-(Hydroxymethyl)-5-phosphonooxy-4-tetradecanoyloxy-oxan-3-yl]amino]-1-oxotetradecan-3-yl] tetradecanoate
[CAS# 99777-22-7]

Suppliers
CAS#: 99777-22-7
Product: [1-[[6-(Hydroxymethyl)-5-phosphonooxy-4-tetradecanoyloxy-oxan-3-yl]amino]-1-oxotetradecan-3-yl] tetradecanoate
No suppilers available for the product.
Identification
Name [1-[[6-(Hydroxymethyl)-5-phosphonooxy-4-tetradecanoyloxy-oxan-3-yl]amino]-1-oxotetradecan-3-yl] tetradecanoate
Synonyms 1-[2-[[6-(Hydroxymethyl)-5-Phosphonooxy-4-Tetradecanoyloxy-Tetrahydropyran-3-Yl]Amino]-2-Oxo-Ethyl]Dodecyl Tetradecanoate; Tetradecanoic Acid 1-[2-[[6-(Hydroxymethyl)-4-(1-Oxotetradecoxy)-5-Phosphonooxy-3-Tetrahydropyranyl]Amino]-2-Oxoethyl]Dodecyl Ester; M
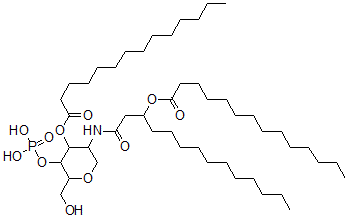
Molecular Structure CAS#: 99777-22-7, [1-[[6-(Hydroxymethyl)-5-phosphonooxy-4-tetradecanoyloxy-oxan-3-yl]amino]-1-oxotetradecan-3-yl] tetradecanoate
Molecular Formula C48H92NO11P
Molecular Weight 890.23
CAS Registry Number 99777-22-7
SMILES C(C(OC1C(COC(C1O[P](=O)(O)O)CO)NC(CC(OC(=O)CCCCCCCCCCCCC)CCCCCCCCCCC)=O)=O)CCCCCCCCCCCC
InChI 1S/C48H92NO11P/c1-4-7-10-13-16-19-21-24-27-30-33-36-45(52)58-41(35-32-29-26-23-18-15-12-9-6-3)38-44(51)49-42-40-57-43(39-50)48(60-61(54,55)56)47(42)59-46(53)37-34-31-28-25-22-20-17-14-11-8-5-2/h41-43,47-48,50H,4-40H2,1-3H3,(H,49,51)(H2,54,55,56)
InChIKey DAJVWAYAPWDUTO-UHFFFAOYSA-N
Properties
Density 1.072g/cm3 (Cal.)
Market Analysis Reports
List of Reports Available for [1-[[6-(Hydroxymethyl)-5-phosphonooxy-4-tetradecanoyloxy-oxan-3-yl]amino]-1-oxotetradecan-3-yl] tetradecanoate
Related Products
2-Keto-3-Deoxy-1,7-Dicarboxyheptonic Aci...  3-Mercapto-2-Pyridinesulfonamide  Carbamylated Triiodothyronine  Cyclo(Glycyl-Prolyl-psi(CH2S)-Glycyl-Phe...  1,2-Propanediol, Polymer With 1,1'-Methy...  Hexanedioic Acid, Polymer With 2-Butene-...  (Isooctanolato)Bis(2-Propanolato)-Alumin...  (2E,4E,6E,8E)-N-Ethoxy-3,7-Dimethyl-9-(2...  N(alpha)-Benzyloxycarbonyl-4-guanidinoph...  5-((Hydroxy((Hydroxymercaptophosphinyl)O...  Iofendylate  Ginkgolide B  Tetraisobutyldialuminoxane  4-[[(2S)-2-Amino-3-(4-Hydroxyphenyl)Prop...  4-Nitrosofenitrothion