Online Database of Chemicals from Around the World

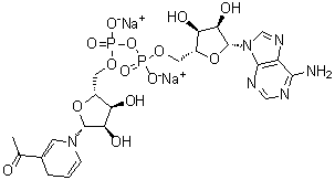
1-(1,4-二氢-1-beta-D-呋喃核糖基-3-吡啶基)乙酮 5'→P'-(腺苷 5'-(三氢二磷酸酯))酯二钠盐
[CAS# 102029-93-6]

基本信息
英文名 Adenosine 5'-(trihydrogen diphosphate), P'→5'-ester with 1-(1,4-dihydro-1-beta-D-ribofuranosyl-3-pyridinyl)ethanone, disodium salt
产品名称 1-(1,4-二氢-1-beta-D-呋喃核糖基-3-吡啶基)乙酮 5'→P'-(腺苷 5'-(三氢二磷酸酯))酯二钠盐
分子结构 CAS 登录号:102029-93-6, 1-(1,4-二氢-1-beta-D-呋喃核糖基-3-吡啶基)乙酮 5'→P'-(腺苷 5'-(三氢二磷酸酯))酯二钠盐
分子式 C22H28N6O14P2Na2
分子量 708.42
CAS 登录号 102029-93-6
EC 号码 634-453-6
安全数据
危害分类
up    说明
危害分类类别码危害标签
眼刺激Eye Irrit.2H319
皮肤刺激Skin Irrit.2H315
特定目标器官毒性—单次接触STOT SE3H335
市场分析报告
请浏览1-(1,4-二氢-1-beta-D-呋喃核糖基-3-吡啶基)乙酮 5'→P'-(腺苷 5'-(三氢二磷酸酯))酯二钠盐市场分析报告总目录
相关产品
腺苷-5'-单磷酸一水合物  腺苷 5'-(五氢四联磷酸酯),P'''→5'-腺苷酯三锂盐  腺苷-3',5'-环磷酸酯钠  腺苷 5'-(三磷酸四氢酯) 3'-(4-苯甲酰基苯甲酸酯)  腺苷 5'-(三磷酸四氢酯) 3'-(4-苯甲酰基苯甲酸酯) 三乙胺盐  三磷酸腺苷二钠盐水合物  腺苷 5'-(四氢三磷酸酯)三钠盐  腺苷-5'-二磷酸  腺苷-5'-二磷酸钡盐  腺苷 5'-(三氢二磷酸)环己胺盐  腺苷 5'-(三氢二磷酸酯), P'→5-(4-硝基苯基 beta-D-呋喃核糖苷)酯  腺苷 5'-(三氢二磷酸酯)镁盐  腺苷-5'-二磷酸单钾盐二水合物  三磷酸腺苷酶  5'-三磷酸腺苷  腺苷-5'-三磷酸二钾盐  腺苷-5'-三磷酸二钠盐  磷酸腺苷钠  三磷酸腺苷镁盐  三磷酸腺苷硫酸化酶