Online Database of Chemicals from Around the World

L-酪氨酰-L-异亮氨酰甘氨酰-L-丝氨酰-L-精氨酰胺
[CAS# 110590-65-3]

供应商目录
Creative Peptides 美国 询价快递  
+1 (631) 624-4882
info@creative-peptides.com
化学品生产商
chemBlink 标准供应商 (2010年起)
成都云希化工有限公司 中国 询价快递  
+86 (28) 6232-8193
+86 17380623303
caroline@youngshechem.com
QQ 交谈
Skype 聊天
化学品生产商 (2013年起)
chemBlink 标准供应商 (2015年起)
南京莱昂生物科技有限公司 中国 询价快递  
+86 (25) 8452-3390 ex 127
sales@njleonbiotech.com
化学品生产商 (2014年起)
chemBlink 标准供应商 (2015年起)
L-酪氨酰-L-异亮氨酰甘氨酰-L-丝氨酰-L-精氨酰胺供应商总目录
基本信息
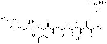
英文名 L-Tyrosyl-L-isoleucylglycyl-L-seryl-L-argininamide
产品名称 L-酪氨酰-L-异亮氨酰甘氨酰-L-丝氨酰-L-精氨酰胺
分子结构 CAS 登录号:110590-65-3, L-酪氨酰-L-异亮氨酰甘氨酰-L-丝氨酰-L-精氨酰胺
分子式 C26H43N9O7
分子量 593.68
CAS 登录号 110590-65-3
物理化学性质
溶解度 微溶 (1.8 g/L) (25 ºC), 计算值*
密度 1.44±0.1 g/cm3 (20 ºC 760 torr), 计算值*
* 使用计算软件 Advanced Chemistry Development (ACD/Labs) V11.02 (©1994-2015 ACD/Labs)
市场分析报告
请浏览L-酪氨酰-L-异亮氨酰甘氨酰-L-丝氨酰-L-精氨酰胺市场分析报告总目录
相关产品
L-酪氨酰-L-alpha-谷氨酰-L-缬氨酰-L-精氨酰-L-天冬氨酰胺酰-L-缬氨酰-L-丝氨酰甘氨酰-L-缬氨酰-L-酪氨酰-L-组氨酰-L-缬氨酰-L-苏氨酰-L-天冬酰胺  L-酪氨酰甘氨酸  D-酪氨酰甘氨酰-D-精氨酰-D-赖氨酰-D-赖氨酰-D-精氨酰-D-精氨酰-D-谷氨酰胺酰-D-精氨酰-D-精氨酰-D-精氨酸  L-酪氨酰甘氨酰-L-精氨酰-L-赖氨酰-L-赖氨酰-L-精氨酰-L-精氨酰-L-谷氨酰胺酰-L-精氨酰-L-精氨酰-L-精氨酰-L-赖氨酰-L-亮氨酰-L-丝氨酰-L-丝氨酰-L-异亮氨酰-L-alpha-谷氨酰-L-丝氨酰-L-alpha-天冬氨酰-L-缬氨酸  L-酪氨酰甘氨酰-L-精氨酰-L-赖氨酰-L-赖氨酰-L-精氨酰-L-精氨酰-L-谷氨酰胺酰-L-精氨酰-L-精氨酰-L-精氨酰-L-酪氨酰-L-赖氨酰-L-alpha-谷氨酰甘氨酰-L-酪氨酰-L-天冬氨酰胺酰-L-缬氨酰-L-酪氨酰-甘氨酸  L-酪氨酰甘氨酰-L-精氨酰-L-赖氨酰-L-赖氨酰-L-精氨酰-L-精氨酰-L-谷氨酰胺酰-L-精氨酰-L-精氨酰-L-精氨酰-L-缬氨酰-L-酪氨酰-L-赖氨酰-L-酪氨酰甘氨酰甘氨酰-L-酪氨酰-L-天冬氨酰胺酰-L-谷氨酸  L-酪氨酰甘氨酰-L-精氨酰-L-脯氨酰-L-精氨酰-L-alpha-谷氨酰-L-丝氨酰甘氨酰-L-赖氨酰-L-赖氨酰-L-精氨酰-L-赖氨酰-L-精氨酰-L-赖氨酰-L-精氨酰-L-亮氨酰-L-赖氨酰-L-脯氨酰-L-苏氨酸  L-酪氨酰甘氨酰甘氨酸  [Met5]脑啡肽  L-酪氨酰甘氨酰-L-丝氨酰-L-亮氨酰-L-脯氨酰-L-谷氨酰胺酰-L-赖氨酰-L-丝氨酰-L-谷氨酰胺酰-L-精氨酰-L-丝氨酰-L-谷氨酰胺酰-L-alpha-天冬氨酰-L-alpha-谷氨酰-L-天冬氨酰胺  L-酪氨酰-L-亮氨酰-L-丙氨酰-L-蛋氨酰-L-脯氨酰-L-苯丙氨酰-L-丙氨酰-L-苏氨酰-L-脯氨酰-L-蛋氨酰-L-谷氨酸  L-酪氨酰-L-亮氨酰-L-天冬氨酰胺酰-L-alpha-天冬氨酰-L-组氨酰-L-亮氨酰-L-alpha-谷氨酰-L-脯氨酰-L-色氨酰-L-异亮氨酸  L-酪氨酰-L-亮氨酰-L-谷氨酰胺酰-L-亮氨酰-L-缬氨酰-L-苯丙氨酰甘氨酰-L-异亮氨酰-L-alpha-谷氨酰-L-缬氨酸  L-酪氨酰-L-亮氨酰-L-谷氨酰胺酰-L-缬氨酰-L-天冬氨酰胺酰-L-丝氨酰-L-亮氨酰-L-谷氨酰胺酰-L-苏氨酰-L-缬氨酸  L-酪氨酰-L-亮氨酰-L-alpha-谷氨酰-L-赖氨酰-L-alpha-谷氨酰-L-丝氨酰-L-异亮氨酰-L-酪氨酰-L-酪氨酸  L-酪氨酰-L-亮氨酰-L-alpha-谷氨酰-L-脯氨酰甘氨酰-L-脯氨酰-L-缬氨酰-L-苏氨酰-L-丙氨酸  L-酪氨酰-L-亮氨酰-L-alpha-谷氨酰-L-脯氨酰甘氨酰-L-脯氨酰-L-缬氨酰-L-苏氨酰-L-缬氨酸  L-酪氨酰-L-亮氨酰-L-alpha-谷氨酰-L-脯氨酰甘氨酰-L-脯氨酰-L-缬氨酰-L-苏氨酰-L-缬氨酰-L-脯氨酸  L-酪氨酰-L-亮氨酰甘氨酰-L-丝氨酰-L-酪氨酰甘氨酰-L-苯丙氨酰-L-精氨酰-L-亮氨酸  L-酪氨酰-L-亮氨酰-L-亮氨酰-L-脯氨酰-L-丙氨酰-L-异亮氨酰-L-缬氨酰-L-组氨酰-L-异亮氨酸