Online Database of Chemicals from Around the World

KZ 55
[CAS# 117753-51-2]

List of Suppliers
Nanjing Capatue Chemical Co., Ltd. China Inquire  
+86 (25) 8637-1192
+86 13851602286
info@capatue.com
stephenchow@capatue.com
QQ chat
Chemical manufacturer
chemBlink standard supplier since 2008
Complete supplier list of KZ 55
Identification
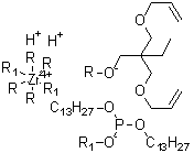
Name KZ 55
Synonyms Tetrakis[2,2-bis[(2-propenyloxy)methyl]-1-butanolato]bis(ditridecyl phosphito)dihydrogenzirconate
Molecular Structure CAS # 117753-51-2, KZ 55, Tetrakis[2,2-bis[(2-propenyloxy)methyl]-1-butanolato]bis(ditridecyl phosphito)dihydrogenzirconate
Molecular Formula C100H192O18P2Zr.2H
Molecular Weight 1837.77
CAS Registry Number 117753-51-2
Market Analysis Reports
List of Reports Available for KZ 55
Related Products
Kuwanon E  KW 2449  KW-3902  Kwangsienin B  KX 01  Kyanite  DL-Kynurenine  D-Kynurenine  L-Kynurenine  Kyotorphin  KZ-TPP  Kurarinon  Kurbissamen oil  Kushenol A  Kushenol B  Kushenol C  Kushenol E  Kushenol I  Kushenol K  Kushenol L