Online Database of Chemicals from Around the World

O-beta-D-Fructofuranosyl-(2→1)-O-beta-D-fructofuranosyl-(2→1)-O-beta-D-fructofuranosyl-(2→1)-O-beta-D-fructofuranosyl-(2→1)-O-beta-D-fructofuranosyl-(2→1)-O-beta-D-fructofuranosyl-(2→1)-O-beta-D-fructofuranosyl-(2→1)-O-beta-D-fructofuranosyl-(2→1)-beta-D-fructofuranosyl alpha-D-glucopyranoside
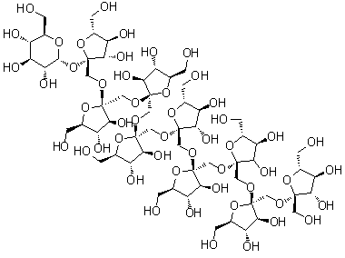
[CAS# 118150-64-4]

Identification
Name O-beta-D-Fructofuranosyl-(2→1)-O-beta-D-fructofuranosyl-(2→1)-O-beta-D-fructofuranosyl-(2→1)-O-beta-D-fructofuranosyl-(2→1)-O-beta-D-fructofuranosyl-(2→1)-O-beta-D-fructofuranosyl-(2→1)-O-beta-D-fructofuranosyl-(2→1)-O-beta-D-fructofuranosyl-(2→1)-beta-D-fructofuranosyl alpha-D-glucopyranoside
Molecular Structure CAS # 118150-64-4, O-beta-D-Fructofuranosyl-(2→1)-O-beta-D-fructofuranosyl-(2→1)-O-beta-D-fructofuranosyl-(2→1)-O-beta-D-fructofuranosyl-(2→1)-O-beta-D-fructofuranosyl-(2→1)-O-beta-D-fructofuranosyl-(2→1)-O-beta-D-fructofuranosyl-(2→1)-O-beta-D-fructofuranosyl-(2→1)-beta-D-fructofuranosyl alpha-D-glucopyranoside
Molecular Formula C60H102O51
Molecular Weight 1639.42
CAS Registry Number 118150-64-4
Properties
Density 1.92±0.1 g/cm3 (20 ºC 760 Torr), Calc.*
* Calculated using Advanced Chemistry Development (ACD/Labs) Software V11.02 (©1994-2018 ACD/Labs)
Market Analysis Reports
List of Reports Available for O-beta-D-Fructofuranosyl-(2→1)-O-beta-D-fructofuranosyl-(2→1)-O-beta-D-fructofuranosyl-(2→1)-O-beta-D-fructofuranosyl-(2→1)-O-beta-D-fructofuranosyl-(2→1)-O-beta-D-fructofuranosyl-(2→1)-O-beta-D-fructofuranosyl-(2→1)-O-beta-D-fructofuranosyl-(2→1)-beta-D-fructofuranosyl alpha-D-glucopyranoside
Related Products
Fucoxanthin  Fucus vesiculosus, ext.  Fudosteine  Fuegin  Fuel gases, expander off  Fuel oil, no. 1  Frovatriptan succinate  Frovatriptan succinate hydrate  alpha-D-Fructofuranose 1,3,4,6-tetrabenzoate  beta-Fructofuranosidase  O-beta-D-Fructofuranosyl-(2→1)-O-beta-D-fructofuranosyl-(2→1)-O-beta-D-fructofuranosyl-(2→1)-O-beta-D-fructofuranosyl-(2→1)-O-beta-D-fructofuranosyl-(2→1)-O-beta-D-fructofuranosyl-(2→1)-O-beta-D-fructofuranosyl-(2→1)-beta-D-fructofuranosyl alpha-D-glucopyranoside  O-beta-D-Fructofuranosyl-(2→1)-O-beta-D-fructofuranosyl-(2→1)-O-beta-D-fructofuranosyl-(2→1)-O-beta-D-fructofuranosyl-(2→1)-O-beta-D-fructofuranosyl-(2→1)-O-beta-D-fructofuranosyl-(2→1)-beta-D-fructofuranosyl alpha-D-glucopyranoside  O-beta-D-Fructofuranosyl-(2→6)-beta-D-fructofuranosyl alpha-D-glucopyranoside  [O-beta-D-Fructofuranosyl-(2→1)]9-beta-D-fructofuranosyl alpha-D-glucopyranoside  [O-beta-D-Fructofuranosyl-(2→1)]10-O-beta-D-fructofuranosyl alpha-D-glucopyranoside  beta-D-Fructofuranosyl O-beta-D-galactopyranosyl-(1→2)-alpha-D-glucopyranoside  beta-D-Fructofuranosyl O-beta-D-galactopyranosyl-(1→3)-alpha-D-glucopyranoside  beta-D-Fructofuranosyl alpha-D-glucopyranoside allyl ethers  beta-D-Fructofuranosyl alpha-D-glucopyranoside, mixed palmitates and stearates  O-beta-D-Fructofuranosyl-(2→6)-alpha-D-glucopyranosylfructofuranoside