Online Database of Chemicals from Around the World

Soyasaponin Ab
[CAS# 118194-13-1]

List of Suppliers
BOC Sciences USA Inquire  
+1 (631) 485-4226
info@bocsci.com
Chemical manufacturer
chemBlink standard supplier since 2010
BOC Sciences USA Inquire  
+1 (631) 485-4226
info@bocsci.com
Chemical manufacturer
chemBlink standard supplier since 2010
Aktin Chemicals Inc China Inquire  
+86 400-028-7725
info@aktinchem.com
QQ chat
Chemical manufacturer
chemBlink standard supplier since 2011
Chengdu Biopurify Phytochemicals Ltd. China Inquire  
+86 (28) 8263-3860
8263-3987
sales@biopurify.com
biopurify@gmail.com
Skype Chat
QQ chat
Chemical manufacturer
chemBlink standard supplier since 2017
Neostar United (Changzhou) Industrial Co., Ltd. China Inquire  
+86 (519) 8555-7386
+86 18015025600
marketing1@neostarunited.com
Chemical distributor since 2014
chemBlink standard supplier since 2020
Complete supplier list of Soyasaponin Ab
Identification
Name Soyasaponin Ab
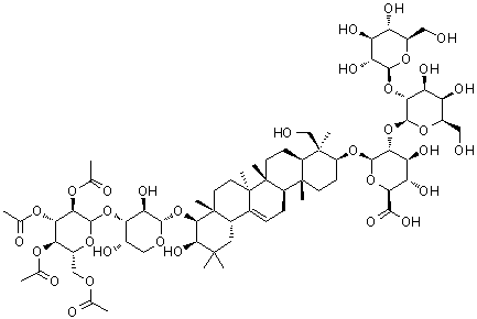
Molecular Structure CAS # 118194-13-1, Soyasaponin Ab
Molecular Formula C67H104O33
Molecular Weight 1437.52
CAS Registry Number 118194-13-1
Properties
Solubility Practically insoluble (0.011 g/L) (25 ºC), Calc.*
Density 1.49±0.1 g/cm3 (20 ºC 760 Torr), Calc.*
Melting point 253-256 ºC**
* Calculated using Advanced Chemistry Development (ACD/Labs) Software V11.02 (©1994-2014 ACD/Labs)
** Chang, Seo-Young; Journal of Pharmaceutical and Biomedical Analysis 2010, V52(5), P752-756.
Market Analysis Reports
List of Reports Available for Soyasaponin Ab
Related Products
Sotalol hydrochloride  Sotetsuflavon  Sotorasib  Sotrastaurin  Soyacerebroside I  Soyacerebroside II  soya mono- and di-Glycerides 2,3-bis(acetyloxy)butanedioates  Soyasapogenol A  Soyasapogenol B  Soyasaponin Aa  Sophoflavescenol  Sophora alopecuroides, ext.  Sophoraflavanone C  Sophoraflavanone G  Sophoraisoflavone A  Sophoramine  Sophoranol  (-)-Sophoranone  Sophoricoside  Sophoridine