Online Database of Chemicals from Around the World

Fumonisin B1-13C34
[CAS# 1217458-62-2]

List of Suppliers
Sigma-Aldrich, Inc. China Inquire  
+86 (21) 6141-5566
800-819-3336
orderCN@sial.com
Chemical manufacturer since 1992
chemBlink standard supplier since 2013
Complete supplier list of Fumonisin B1-13C34
Identification
Classification Analytical chemistry >> Standard >> Food and cosmetics standards
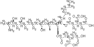
Name Fumonisin B1-13C34
Molecular Structure CAS # 1217458-62-2, Fumonisin B1-<sup>13</sup>C<sub>34</sub>
Molecular Formula C34H59NO15
Molecular Weight 721.83
CAS Registry Number 1217458-62-2
EC Number 808-555-8
Safety Data
Hazard Classification
up    Details
HazardClassCategory CodeHazard Statement
CarcinogenicityCarc.2H351
Market Analysis Reports
List of Reports Available for Fumonisin B1-13C34
Related Products
GS 7340 fumarate  F13714 fumarate  Fumaric acid  Fumaric acid bis(2-aminoethyl) ester dihydrochloride  Fumaric acid, bis(2-bromoethyl) ester  Fumaryl chloride  Fumigaclavine A  Fumitremorgin C  Fumonisin B3  Fumonisin B1  Fumonisin B2  beta-Funaltrexamine hydrochloride  Funapide  Fungal amylase  Fungitetraose  Funoran  4-(3-Fuorophenyl)-2,4-dihydro-2,5-dimethyl-3H-1,2,4-triazol-3-one  N-(3-fluoro-5,6,7,8-tetrahydro-4-methyl-8-oxo-1-naphthalenyl)-Acetamide  (2R,7aS)-2-fluorotetrahydro-1H-Pyrrolizine-7a(5H)-methanol hydrochloride (1:1)  Fupentixol dihydrochloride