Online Database of Chemicals from Around the World

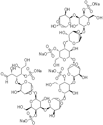
O-3,6-脱水-alpha-D-吡喃半乳糖基-(1→3)-O-4-O-磺基-beta-D-吡喃半乳糖基-(1→4)-O-3,6-脱水-alpha-D-吡喃半乳糖基-(1→3)-O-4-O-磺基-beta-D-吡喃半乳糖基-(1→4)-O-3,6-脱水-alpha-D-吡喃半乳糖基-(1→3)-O-4-O-磺基-beta-D-吡喃半乳糖基-(1→4)-O-3,6-脱水-alpha-D-吡喃半乳糖基-(1→3)-O-4-O-磺基-beta-D-吡喃半乳糖基-(1→4)-O-3,6-脱水-alpha-D-吡喃半乳糖基-(1→3)-D-半乳糖 4-(硫酸氢酯)五钠盐
[CAS# 133628-75-8]

基本信息
英文名 O-3,6-Anhydro-alpha-D-galactopyranosyl-(1→3)-O-4-O-sulfo-beta-D-galactopyranosyl-(1→4)-O-3,6-anhydro-alpha-D-galactopyranosyl-(1→3)-O-4-O-sulfo-beta-D-galactopyranosyl-(1→4)-O-3,6-anhydro-alpha-D-galactopyranosyl-(1→3)-O-4-O-sulfo-beta-D-galactopyranosyl-(1→4)-O-3,6-anhydro-alpha-D-galactopyranosyl-(1→3)-O-4-O-sulfo-beta-D-galactopyranosyl-(1→4)-O-3,6-anhydro-alpha-D-galactopyranosyl-(1→3)-D-galactose 4-(hydrogen sulfate) pentasodium salt
产品名称 O-3,6-脱水-alpha-D-吡喃半乳糖基-(1→3)-O-4-O-磺基-beta-D-吡喃半乳糖基-(1→4)-O-3,6-脱水-alpha-D-吡喃半乳糖基-(1→3)-O-4-O-磺基-beta-D-吡喃半乳糖基-(1→4)-O-3,6-脱水-alpha-D-吡喃半乳糖基-(1→3)-O-4-O-磺基-beta-D-吡喃半乳糖基-(1→4)-O-3,6-脱水-alpha-D-吡喃半乳糖基-(1→3)-O-4-O-磺基-beta-D-吡喃半乳糖基-(1→4)-O-3,6-脱水-alpha-D-吡喃半乳糖基-(1→3)-D-半乳糖 4-(硫酸氢酯)五钠盐
分子结构 CAS 登录号:133628-75-8, O-3,6-脱水-alpha-D-吡喃半乳糖基-(1→3)-O-4-O-磺基-beta-D-吡喃半乳糖基-(1→4)-O-3,6-脱水-alpha-D-吡喃半乳糖基-(1→3)-O-4-O-磺基-beta-D-吡喃半乳糖基-(1→4)-O-3,6-脱水-alpha-D-吡喃半乳糖基-(1→3)-O-4-O-磺基-beta-D-吡喃半乳糖基-(1→4)-O-3,6-脱水-alpha-D-吡喃半乳糖基-(1→3)-O-4-O-磺基-beta-D-吡喃半乳糖基-(1→4)-O-3,6-脱水-alpha-D-吡喃半乳糖基-(1→3)-D-半乳糖 4-(硫酸氢酯)五钠盐
分子式 C60H87O61S5Na5
分子量 2059.58
CAS 登录号 133628-75-8
市场分析报告
请浏览O-3,6-脱水-alpha-D-吡喃半乳糖基-(1→3)-O-4-O-磺基-beta-D-吡喃半乳糖基-(1→4)-O-3,6-脱水-alpha-D-吡喃半乳糖基-(1→3)-O-4-O-磺基-beta-D-吡喃半乳糖基-(1→4)-O-3,6-脱水-alpha-D-吡喃半乳糖基-(1→3)-O-4-O-磺基-beta-D-吡喃半乳糖基-(1→4)-O-3,6-脱水-alpha-D-吡喃半乳糖基-(1→3)-O-4-O-磺基-beta-D-吡喃半乳糖基-(1→4)-O-3,6-脱水-alpha-D-吡喃半乳糖基-(1→3)-D-半乳糖 4-(硫酸氢酯)五钠盐市场分析报告总目录
相关产品
2,5-脱水-1,3,4-三脱氧-2-C-(2,4-二氟苯基)-4-[[[(4-甲基苯基)磺酰基]氧基]甲基]-1-(1H-1,2,4-三唑-1-基)-D-赤式-戊糖醇  1,5-脱水-2,3,4-三脱氧-2-[[叔丁氧羰基]氨基]-D-苏式-己糖醇  2,5-脱水-1-O-三苯甲基-D-甘露醇  Anhydrotuberosin  3-O-(3,6-脱水-alpha-D-吡喃半乳糖基)-beta-D-吡喃半乳糖  3-O-(3,6-脱水-alpha-D-吡喃半乳糖基)-D-吡喃半乳糖 4-(硫酸氢酯)单钠盐  O-3,6-脱水-alpha-D-吡喃半乳糖基-(1→3)-O-beta-D-吡喃半乳糖基-(1→4)-O-3,6-脱水-alpha-D-吡喃半乳糖基-(1→3)-D-半乳糖 4-(硫酸氢酯)单钠盐  O-3,6-脱水-alpha-D-吡喃半乳糖基-(1→3)-O-4-O-磺基-beta-D-吡喃半乳糖基-(1→4)-O-3,6-脱水-alpha-D-吡喃半乳糖基-(1→3)-D-半乳糖 4-(硫酸氢酯)二钠盐  [O-3,6-脱水-alpha-D-吡喃半乳糖基-(1→3)-O-4-O-磺基-beta-D-吡喃半乳糖基-(1→4)]7-O-3,6-脱水-alpha-D-吡喃半乳糖基-(1→3)-D-半乳糖 4-(硫酸氢酯)钠盐  O-3,6-脱水-alpha-D-吡喃半乳糖基-(1→3)-O-4-O-磺基-beta-D-吡喃半乳糖基-(1→4)-O-3,6-脱水-alpha-D-吡喃半乳糖基-(1→3)-O-4-O-磺基-beta-D-吡喃半乳糖基-(1→4)-O-3,6-脱水-alpha-D-吡喃半乳糖基-(1→3)-D-半乳糖 4-(硫酸氢酯)三钠盐  1,6-脱水-beta-D-半乳糖  2,5-脱水-D-葡萄糖醇  1,4-脱水-D-山梨糖醇 3,5,6-三乙酸酯  1,5-脱水-alpha-D-呋喃葡萄糖  1,6-脱水-beta-D-呋喃葡萄糖  1,6-脱水-beta-D-吡喃葡萄糖  1,6-脱水-beta-D-吡喃葡萄糖 2-(4-甲基苯磺酸酯)  1,6-脱水-4-O-alpha-D-吡喃葡萄糖基-D-吡喃葡萄糖  2,6-脱水-D-甘油型-L-甘露庚糖腈 3,4,5,7-四苯甲酸酯  1-[2,5-脱水-4-C-(羟甲基)-alpha-L-阿拉伯呋喃糖基]-2,4(1H,3H)-嘧啶二酮