Online Database of Chemicals from Around the World

大豆皂苷 Ac
[CAS# 133882-74-3]

供应商目录
BOC Sciences 美国 询价快递  
+1 (631) 485-4226
info@bocsci.com
化学品生产商
chemBlink 标准供应商 (2010年起)
成都普瑞法科技开发有限公司 中国 询价快递  
+86 (28) 8263-3860
8263-3987
sales@biopurify.com
biopurify@gmail.com
QQ 交谈
Skype 聊天
化学品生产商
chemBlink 标准供应商 (2017年起)
常州新星联生物科技有限公司 中国 询价快递  
+86 (519) 8555-7386
+86 18015025600
marketing1@neostarunited.com
化学品供销商 (2014年起)
chemBlink 标准供应商 (2020年起)
大豆皂苷 Ac供应商总目录
基本信息
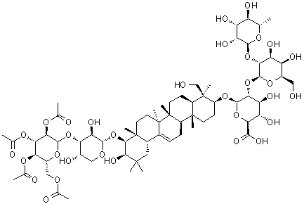
英文名 Soyasaponin Ac
产品名称 大豆皂苷 Ac
分子结构 CAS 登录号:133882-74-3, 大豆皂苷 Ac
分子式 C67H104O32
分子量 1421.52
CAS 登录号 133882-74-3
物理化学性质
溶解度 几乎不溶 (0.02 g/L) (25 ºc), 计算值*
密度 1.47±0.1 g/cm3 (20 ºc 760 torr), 计算值*
* 使用计算软件 Advanced Chemistry Development (ACD/Labs) V11.02 (©1994-2014 ACD/Labs)
市场分析报告
请浏览大豆皂苷 Ac市场分析报告总目录
相关产品
(SP-5-41)-[1,3-二氢-1,3-双(2,4,6-三甲基苯基)-2H-咪唑-2-亚基][(2-氧代-1-吡咯烷基)亚甲基](三环己基膦)二氯化钌  (SP-4-3)-[2'-(二环己基膦基)-N,N-二甲基[1,1'-联苯]-2-胺](甲烷磺酸基)[2'-(甲基氨基)[1,1'-联苯]-2-基]钯  (SP-4-3)-[二环己基[2',4',6'-三(异丙基)[1,1'-联苯]-2-基]膦](甲烷磺酸)[2'-(甲基氨基)[1,1'-联苯]-2-基]钯  (SP-4-1)-[7,16-二氢-2,3,11,12-四甲基-7,16-二[4-(1-甲基丙氧基)苯基]二苯并[b,i][1,4,8,11]四氮杂十四环]钴  (S)-1-{(SP)-2-[2-(二苯基膦基)苯基]二茂铁}乙基二环己基膦  (S)-1-{(SP)-2-[2-(二苯基膦基)苯基]二茂铁}乙基二(2-降冰片基)膦  留兰香提取物  留兰香油  黄金树苷  特女贞苷  大豆皂苷 Ba  大豆皂苷 Bb  大豆皂甙 B-II  黄豆粉  豆油  豆油与二乙二醇,马来酸酐,季戊四醇和邻苯二甲酸酐的聚合物  豆油与间苯二甲酸,马来酸酐,季戊四醇和丙烷三甲醇的聚合物  豆油与对叔丁基苯酚,乙二醇,甲醛,亚麻籽油,季戊四醇,邻苯二甲酸酐和松香的聚合物  磺酸化豆油钠盐  豆蛋白质