Online Database of Chemicals from Around the World

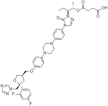
2,5-脱水-4-[[4-[4-[4-[1-[(1S,2S)-2-(3-羧基-1-氧代丙氧基)-1-乙基丙基]-1,5-二氢-5-氧代-4H-1,2,4-三唑-4-基]苯基]-1-哌嗪基]苯氧基]甲基]-1,3,4-三脱氧-2-C-(2,4-二氟苯基)-1-(1H-1,2,4-三唑-1-基)-D-苏式-戊糖醇
[CAS# 1488301-79-6]

基本信息
英文名 2,5-Anhydro-4-[[4-[4-[4-[1-[(1S,2S)-2-(3-carboxy-1-oxopropoxy)-1-ethylpropyl]-1,5-dihydro-5-oxo-4H-1,2,4-triazol-4-yl]phenyl]-1-piperazinyl]phenoxy]methyl]-1,3,4-trideoxy-2-C-(2,4-difluorophenyl)-1-(1H-1,2,4-triazol-1-yl)-D-threo-pentitol
产品名称 2,5-脱水-4-[[4-[4-[4-[1-[(1S,2S)-2-(3-羧基-1-氧代丙氧基)-1-乙基丙基]-1,5-二氢-5-氧代-4H-1,2,4-三唑-4-基]苯基]-1-哌嗪基]苯氧基]甲基]-1,3,4-三脱氧-2-C-(2,4-二氟苯基)-1-(1H-1,2,4-三唑-1-基)-D-苏式-戊糖醇
分子结构 CAS 登录号:1488301-79-6, 2,5-脱水-4-[[4-[4-[4-[1-[(1S,2S)-2-(3-羧基-1-氧代丙氧基)-1-乙基丙基]-1,5-二氢-5-氧代-4H-1,2,4-三唑-4-基]苯基]-1-哌嗪基]苯氧基]甲基]-1,3,4-三脱氧-2-C-(2,4-二氟苯基)-1-(1H-1,2,4-三唑-1-基)-D-苏式-戊糖醇
分子式 C41H46F2N8O7
分子量 800.85
CAS 登录号 1488301-79-6
物理化学性质
溶解度 不溶 (1.8e-4 g/L) (25 ºC), 计算值*
密度 1.38±0.1 g/cm3 (20 ºC 760 torr), 计算值*
* 使用计算软件 Advanced Chemistry Development (ACD/Labs) V11.02 (©1994-2019 ACD/Labs)
市场分析报告
请浏览2,5-脱水-4-[[4-[4-[4-[1-[(1S,2S)-2-(3-羧基-1-氧代丙氧基)-1-乙基丙基]-1,5-二氢-5-氧代-4H-1,2,4-三唑-4-基]苯基]-1-哌嗪基]苯氧基]甲基]-1,3,4-三脱氧-2-C-(2,4-二氟苯基)-1-(1H-1,2,4-三唑-1-基)-D-苏式-戊糖醇市场分析报告总目录
相关产品
1,6-脱水-2-叠氮基-2-脱氧-beta-D-吡喃葡萄糖 3-乙酸酯  1,6-脱水-2-叠氮基-2-脱氧-4-O-[(4-甲氧基苯基)甲基]-3-O-(苯基甲基)-beta-D-吡喃葡萄糖  1,6-脱水-2-叠氮基-2-脱氧-4-O-(苯基甲基)-beta-D-吡喃葡萄糖  3,7-脱水-4-叠氮基-1,2,4-三脱氧-5,6,8-三-O-(苯基甲基)-D-甘油型-D-古洛-辛-1-炔糖醇  3,7-脱水-4-叠氮基-1,2,4-三脱氧-5,6,8-三-O-(苯基甲基)-1-(三甲基硅烷基)-D-甘油型-D-古洛-辛-1-炔糖醇  (1S)-1,5-脱水-1-C-[3-(苯并[b]噻吩-2-基甲基)-4-氟苯基]-D-山梨糖醇 2,3,4,6-四乙酸酯  1,4-脱水-5-O-[二(4-甲氧基苯基)苯基甲基]-2-脱氧-D-赤式-戊糖醇 2-氰基乙基 二(异丙基)氨基亚磷酸酯  1,5-脱水-3-O-[3,4-O-羰基-6-O-[(1,1-二甲基乙基)二甲基硅烷基]-beta-D-吡喃半乳糖基]-2-脱氧-6-O-[(1,1-二甲基乙基)二甲基硅烷基]-D-阿拉伯-己-1-烯糖  1,5-脱水-4-O-[3,4-O-羰基-6-O-[(1,1-二甲基乙基)二苯基硅烷基]-beta-D-吡喃半乳糖基]-2-脱氧-6-O-[(1,1-二甲基乙基)二苯基硅烷基]-D-阿拉伯-己-1-烯糖  2,6-脱水-4-O-[3,4-O-羰基-6-O-[三(1-甲基乙基)硅烷基]-alpha-D-吡喃半乳糖基]-2-脱氧-6-O-[三(1-甲基乙基)硅烷基]-D-阿拉伯-己-5-烯糖  (1S)-1,5-脱水-1-C-[4-氯-3-[[4-[2-(环丙氧基)乙氧基]苯基]甲基]苯基]-D-山梨醇  1,5-脱水-1-C-[4-氯-3-[(4-乙氧基苯基)甲基]苯基]-D-山梨糖醇  (1S)-1,4-脱水-1-C-[4-氯-3-[(4-乙氧基苯基)甲基]苯基]-D-山梨糖醇  (1R)-1,4-脱水-1-C-[4-氯-3-[(4-乙氧基苯基)甲基]苯基]-D-山梨糖醇  (1S)-1,5-脱水-1-C-[4-氯-3-[(2-乙氧基苯基)甲基]苯基]-D-山梨糖醇  (1S)-1,5-脱水-1-C-[4-氯-3-[[4-(乙氧基-1,1,2,2,2-d5)苯基]甲基]苯基]-D-山梨糖醇  (1S)-1,5-脱水-1-C-[4-氯-3-[(4-乙氧基苯基)甲基]苯基]-D-山梨醇四乙酸酯  (1S)-1,5-脱水-1-C-[4-氯-3-[(4-羟基苯基)甲基]苯基]-D-山梨糖醇  (1S)-1,5-脱水-1-C-[4-氯-3-[(4-羟基苯基)甲基]苯基]-D-山梨糖醇 2,3,4,6-四乙酸酯  (1S)-1,5-脱水-1-C-[4-氯-3-[(4-甲氧基苯基)甲基]苯基]-D-山梨糖醇