Online Database of Chemicals from Around the World

12-羟基-9-十八碳烯酸甘油酯
[CAS# 15505-14-3]

供应商目录
BOC Sciences 美国 询价快递  
+1 (631) 485-4226
info@bocsci.com
化学品生产商
chemBlink 标准供应商 (2010年起)
Alfa Chemistry 美国 询价快递  
+1 (201) 478-8534
inquiry@alfa-chemistry.com
化学品供销商 (2012年起)
chemBlink 标准供应商 (2012年起)
12-羟基-9-十八碳烯酸甘油酯供应商总目录
基本信息
英文名 12-Hydroxy-9-octadecenoic acid 1,2,3-propanetriyl ester
产品名称 12-羟基-9-十八碳烯酸甘油酯
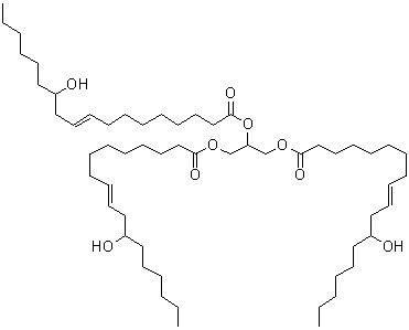
分子结构 CAS 登录号:15505-14-3, 12-羟基-9-十八碳烯酸甘油酯
分子式 C57H104O9
分子量 933.43
CAS 登录号 15505-14-3
物理化学性质
溶解度 不溶 (1.0e-7 g/L) (25 ºC), 计算值*
密度 0.977±0.06 g/cm3 (20 ºC 760 torr), 计算值*
* 使用计算软件 Advanced Chemistry Development (ACD/Labs) V11.02 (©1994-2015 ACD/Labs)
市场分析报告
请浏览12-羟基-9-十八碳烯酸甘油酯市场分析报告总目录
相关产品
17-羟基-19-去甲-17alpha-孕甾-4-烯-20-炔-3-酮辛酸酯  3-羟基-DL-正缬氨酸  delta-羟基正缬氨酸  5-羟基-D-正缬氨酸  (5S,6E,8Z)-5-羟基-6,8-十八碳二烯酸  5-羟基十八酸内酯  [R-(Z)]-(12-羟基-9-十八碳烯酸基)氧铝  (9Z,12R)-12-羟基-9-十八碳烯酸单二乙醇胺盐  (9Z,12R)-12-羟基-9-十八碳烯酸异十八烷基酯  (9Z,12R)-12-羟基-9-十八碳烯酸辛基酯  5-羟基-4-[2-(1,2,3,4,4a,7,8,8a-八氢-1,2,4a,5-四甲基-7-氧代-1-萘基)乙基]-2(5H)-呋喃酮  5-羟基-4-辛酮  反式-4-羟基-2-辛烯醛  8-羟基夹竹桃甙 A  3-羟基-12-齐墩果烯-23,28-二酸  3beta-羟基齐墩果-12-烯-27-酸  3-beta-羟基齐墩果酸丁酸酯  3-beta-羟基齐墩果酸丙酸酯  5-羟基奥美拉唑  (2R,5R)-5-羟基-1,3-氧硫杂环-2-羧酸 (1R,2S,5R)-5-甲基-2-异丙基环己酯