Online Database of Chemicals from Around the World

epsilon-环糊精
[CAS# 156510-98-4]

供应商目录
卡博森斯化学科技 (苏州) 有限公司 中国 询价快递  
+86 (512) 6260-5585
sales@carbosynth.com
QQ 交谈
化学品生产商 (2006年起)
chemBlink 标准供应商 (2016年起)
epsilon-环糊精供应商总目录
基本信息
英文名 epsilon-Cyclodextrin
别名 Cyclodecaamylose
产品名称 epsilon-环糊精
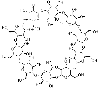
分子结构 CAS 登录号:156510-98-4, epsilon-环糊精
分子式 C60H100O50
分子量 1621.41
CAS 登录号 156510-98-4
物理化学性质
密度 1.624±0.06 g/cm3 (20 ºC 760 torr), 计算值*
* 使用计算软件 Advanced Chemistry Development (ACD/Labs) V11.02 (©1994-2016 ACD/Labs)
市场分析报告
请浏览epsilon-环糊精市场分析报告总目录
相关产品
盐酸依普拉酮  依普菌素  爱普列特  伊罗地塞  伊罗地塞二钠  依普罗沙坦  甲磺酸依普罗沙坦  伊罗替罗  epsilon-己内酯均聚物单(2-羟基乙基丙烯酸酯)酯  epsilon-己内酯-丙交酯共聚物  (epsilonR,1R,3aS,4E,7aR)-八氢-4-[(2E)-2-[(5S)-5-羟基-2-亚甲基环己亚基]亚乙基]-alpha,alpha,epsilon,7a-四甲基-1H-茚-1-戊醇  (±)-epsilon-葡萄素  epsilon-白藜芦醇脱氢二聚体  5-乙基-4-(2-苯氧基乙基)-2H-1,2,4-三氮唑-3(4H)-酮  依铂  氢溴酸依他佐辛  依菲巴特  (3beta,11alpha,12alpha,13alpha)-11,12-环氧-13-甲基-27-去甲齐墩果-14-烯-3-醇十六烷酸酯  2,3-环氧-3-(对硝基苯基)苯丙酮  2,3-环氧降莰烷