Online Database of Chemicals from Around the World

瓜子金皂苷 V
[CAS# 162857-65-0]

供应商目录
成都健腾生物技术有限公司 中国 询价快递  
+86 400-028-7725
info@aktinchem.com
QQ 交谈
化学品生产商
chemBlink 标准供应商 (2011年起)
成都普瑞法科技开发有限公司 中国 询价快递  
+86 (28) 8263-3860
8263-3987
sales@biopurify.com
biopurify@gmail.com
QQ 交谈
Skype 聊天
化学品生产商
chemBlink 标准供应商 (2017年起)
常州新星联生物科技有限公司 中国 询价快递  
+86 (519) 8555-7386
+86 18015025600
marketing1@neostarunited.com
化学品供销商 (2014年起)
chemBlink 标准供应商 (2020年起)
瓜子金皂苷 V供应商总目录
基本信息
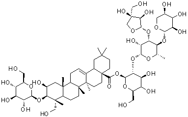
英文名 Polygalasaponin V
别名 (2beta,3beta,4alpha)-3-(beta-D-Glucopyranosyloxy)-2,23-dihydroxyolean-12-en-28-oic acid O-D-apio-beta-D-furanosyl-(1→3)-O-[beta-D-xylopyranosyl-(1→4)]-O-6-deoxy-alpha-L-mannopyranosyl-(1→2)-beta-D-glucopyranosyl ester
产品名称 瓜子金皂苷 V
分子结构 CAS 登录号:162857-65-0, 瓜子金皂苷 V
分子式 C58H94O27
分子量 1223.35
CAS 登录号 162857-65-0
物理化学性质
溶解度 不溶 (1.6e-3 g/L) (25 ºc), 计算值*
密度 1.52±0.1 g/cm3 (20 ºc 760 torr), 计算值*
* 使用计算软件 Advanced Chemistry Development (ACD/Labs) V11.02 (©1994-2014 ACD/Labs)
市场分析报告
请浏览瓜子金皂苷 V市场分析报告总目录
相关产品
多乙烯多胺  聚醚  聚乙烯聚丙二醇烯丙基甲基醚  聚(乙二醇琥珀酸酯)  聚乙烯亚胺  聚[[[(2-乙基己基)氧基]甲氧基-1,4-亚苯基]-1,2-乙烯二基-1,4-亚苯基-1,2-乙烯二基]  远志酸  远志皂苷 D  瓜子金皂苷乙  瓜子金皂苷己  瓜子金皂苷 XXXII  远志山酮 III  远志山酮 XI  远志皂苷元  聚-gamma-L-谷氨酸钠盐  聚乙二醇  聚乙二醇己二酸酯  聚乙二醇双(2-羧基乙基)醚  聚(乙烯乙二醇)双(羧甲基)醚  聚乙二醇二(对二甲基氨基苯甲酸)酯